Ostatnia aktualizacja :
27/04/2026
Lek przeciwgrzybiczny   Amphotericin B liposomale  
Krople oczne
Injekcje
Stabilność preparatów farmaceutycznych Trwałość w mieszaninie Czynnik wpływający na trwałość Zgodność Bibliografia pdf
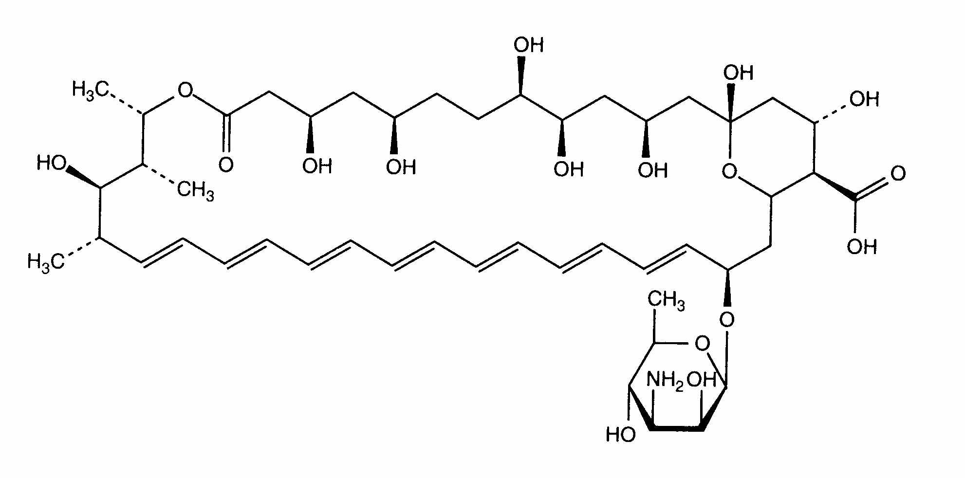
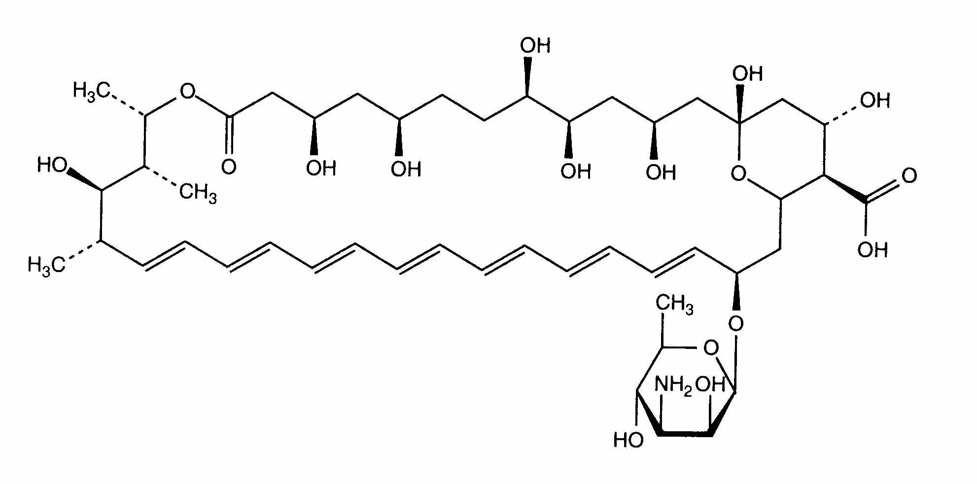
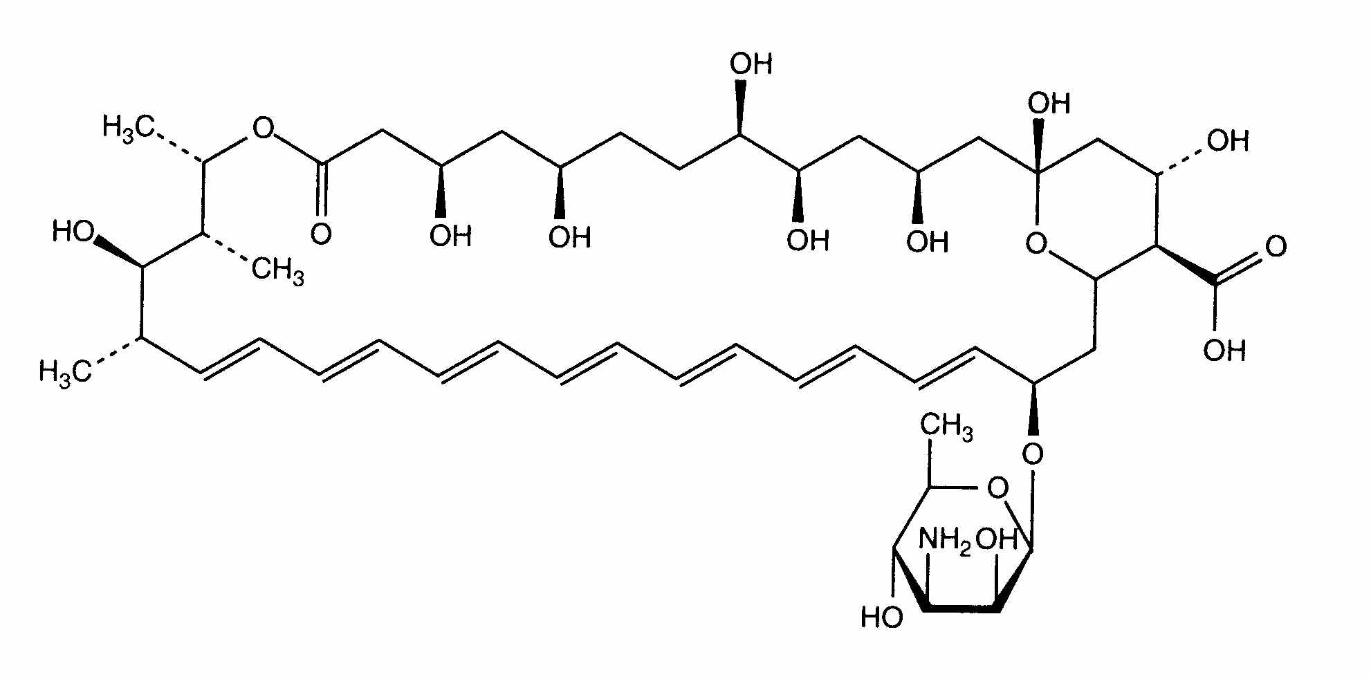
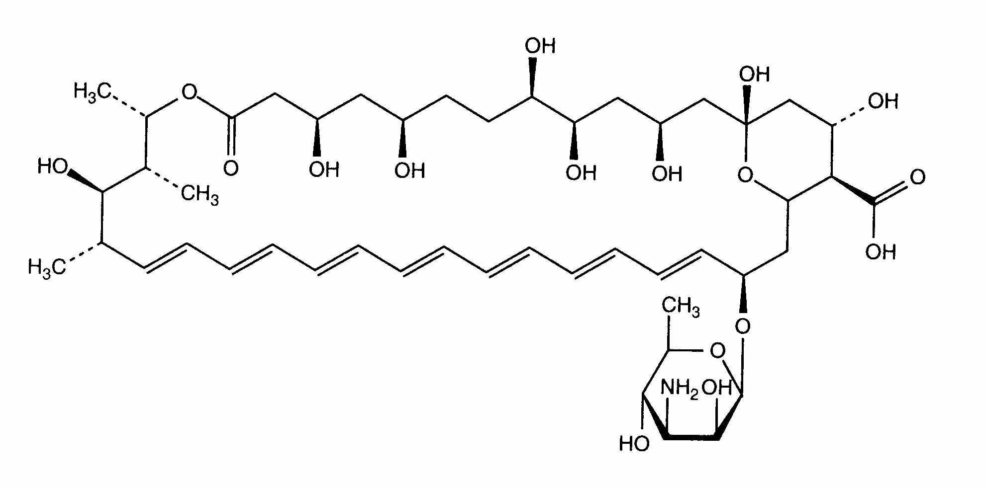
Liposomy   Struktura chemiczna  

Krople oczne
Bibliografia   Krople oczne   Bibliografia : Amphotericin B liposomale  
typ publikacja
2654 Czasopismo Morand K, Bartoletti AC, Bochot A, Barratt G, Brandely ML, Chast F.
Liposomal amphotericin B eye drops to treat fungal keratitis: physico-chemical and formulation stability.
Int J Pharm 2007 ; 344, 1-2: 150-153.

  Mentions Légales