Utolsó frissítés :
27/04/2026
Gombaellenes szer   Amphotericin B liposomale  
Szemcsepp
Injekció
Stabilitása gyógyszerészeti készítmények A keverékek stabilitása Stabilitást befolyásoló tényezők Kompatibilitás Irodalom pdf
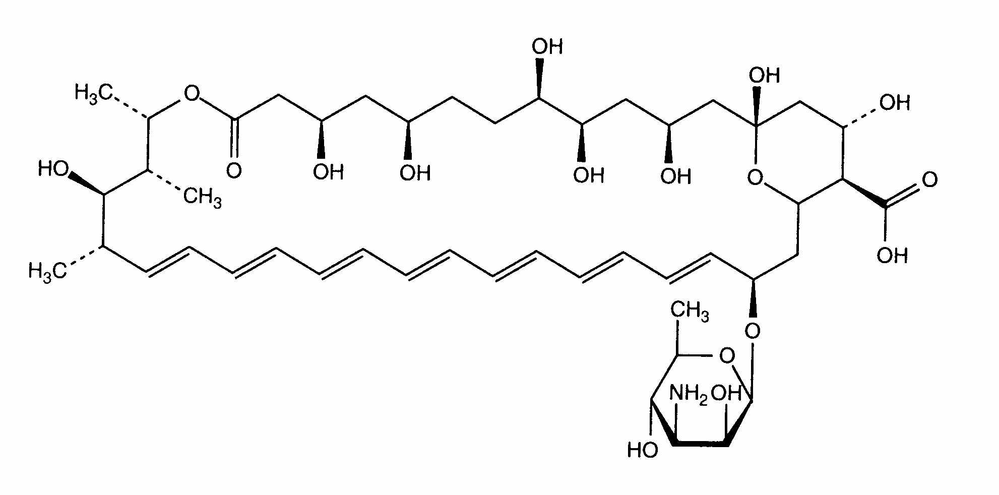
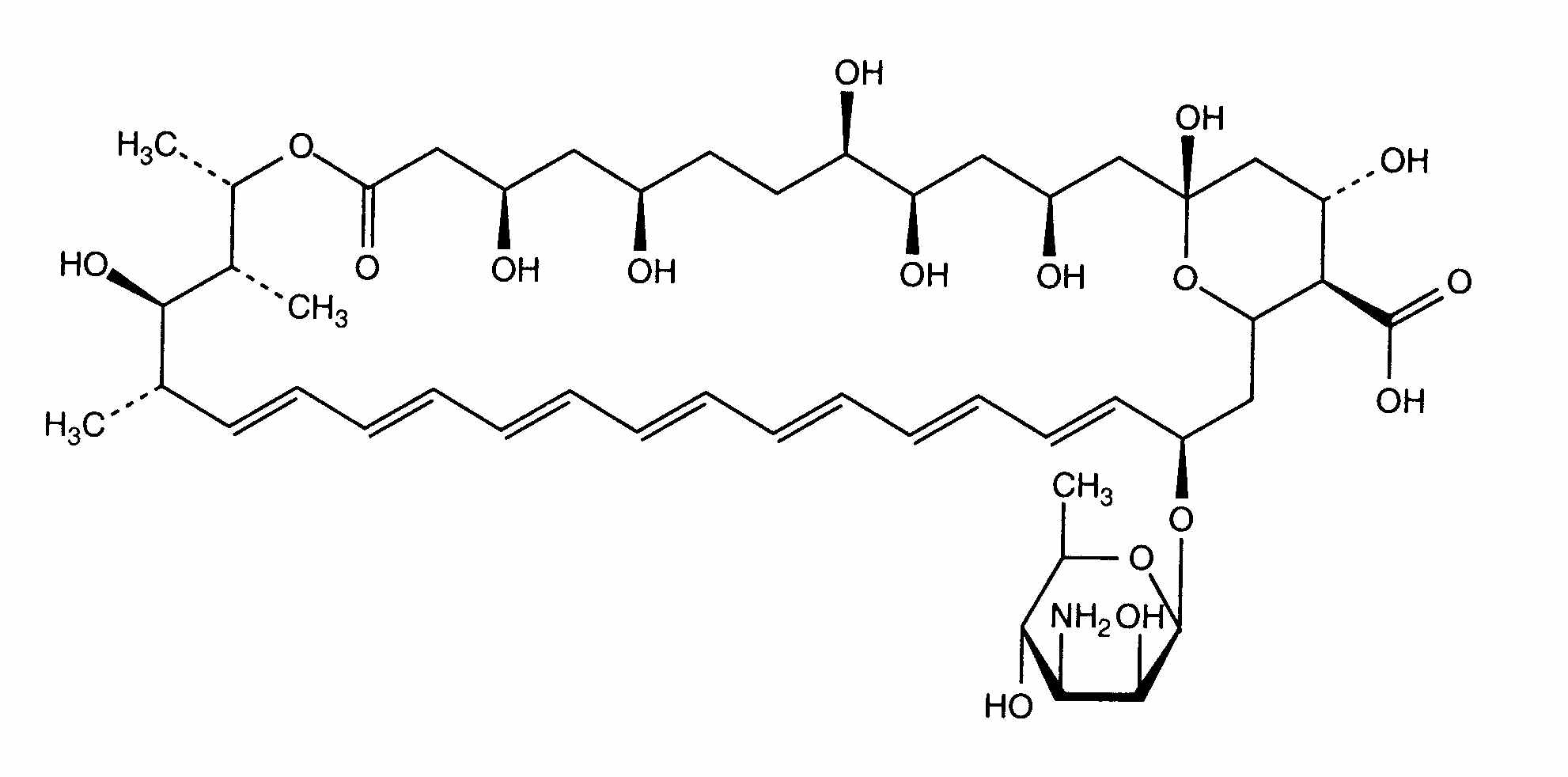
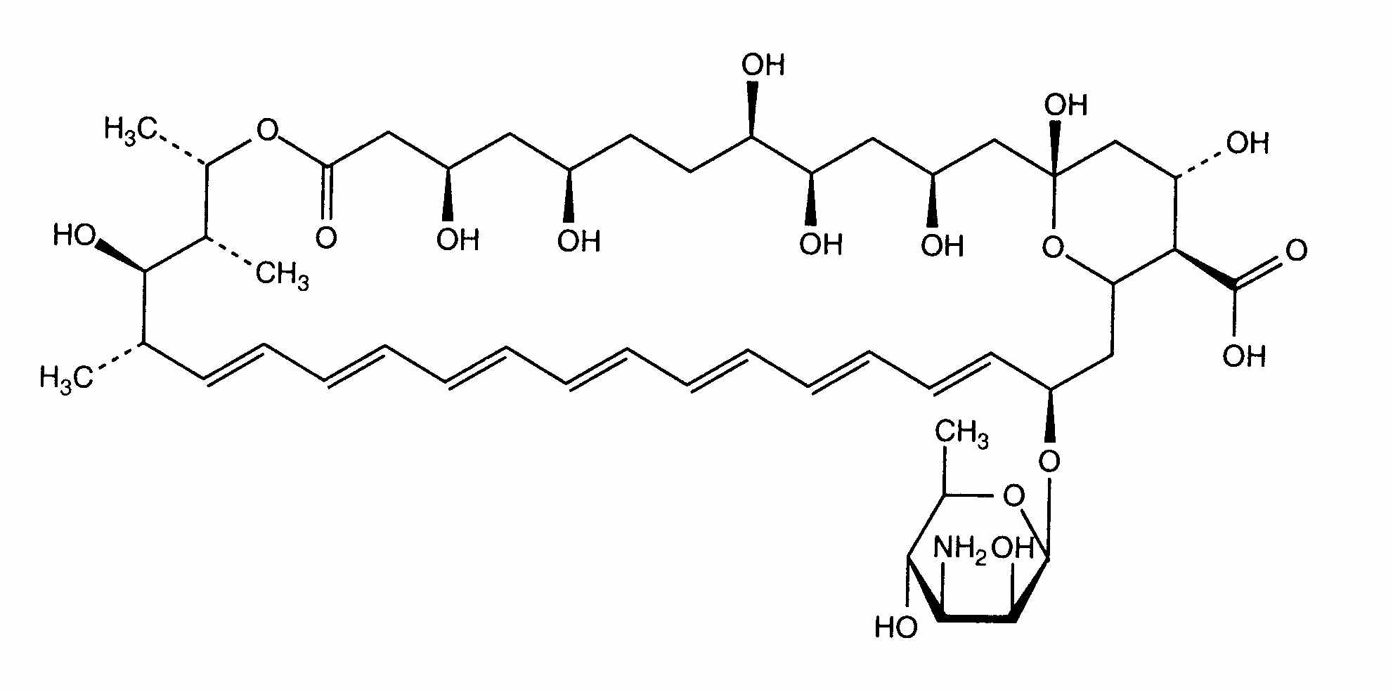
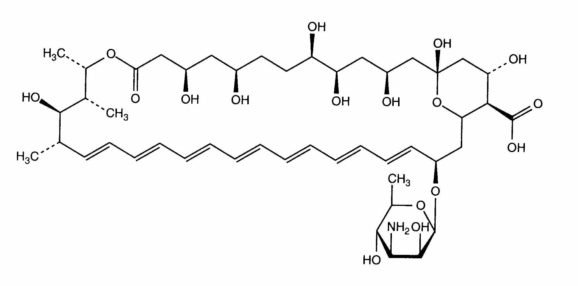
Liposzóma   Kémiai szerkezet   

Szemcsepp
Irodalom   Szemcsepp   Irodalom : Amphotericin B liposomale  
Type publikáció
2654 Napló Morand K, Bartoletti AC, Bochot A, Barratt G, Brandely ML, Chast F.
Liposomal amphotericin B eye drops to treat fungal keratitis: physico-chemical and formulation stability.
Int J Pharm 2007 ; 344, 1-2: 150-153.

  Mentions Légales