Poslední aktualizace :
27/04/2026
Priešgrybelinis vaistas   Amphotericin B liposomale  
Akių lašai
Įpurškimas
Stabilumas farmacinių preparatų Mišinių stabilumas Stabilumą lemiantys veiksniai Suderinamumas Bibliografija pdf
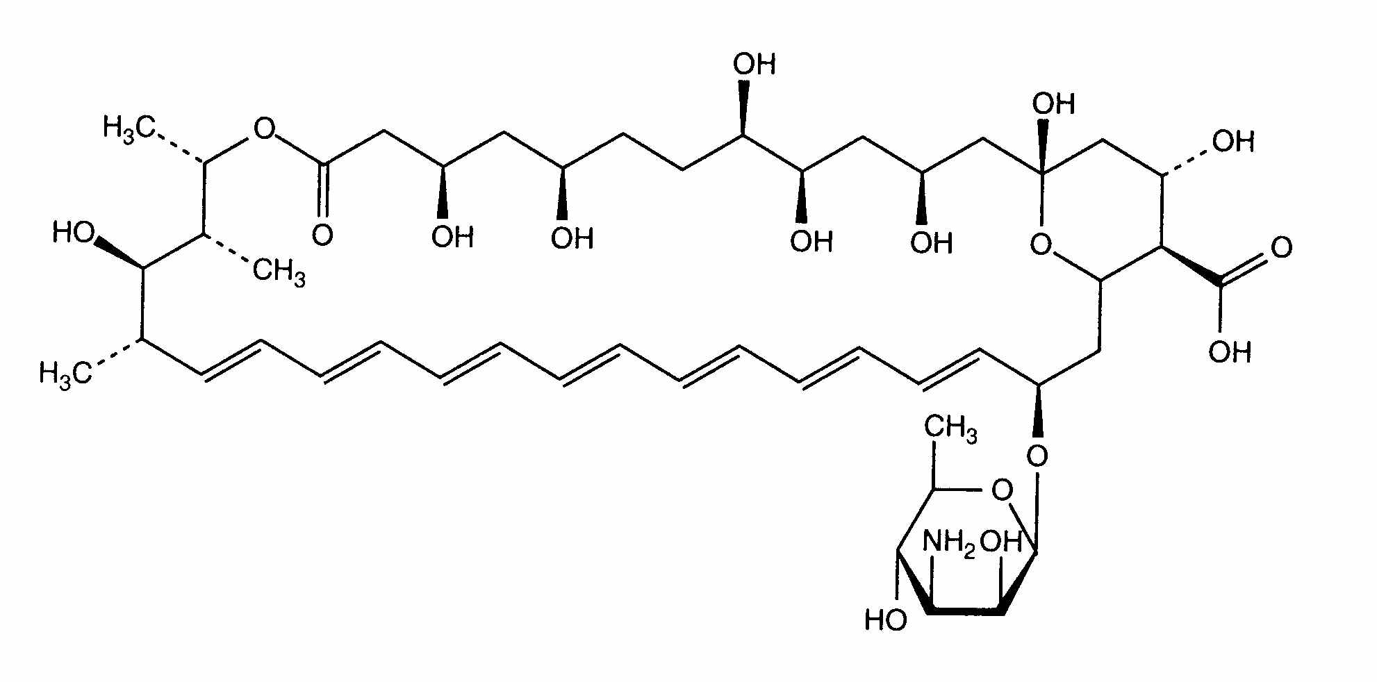
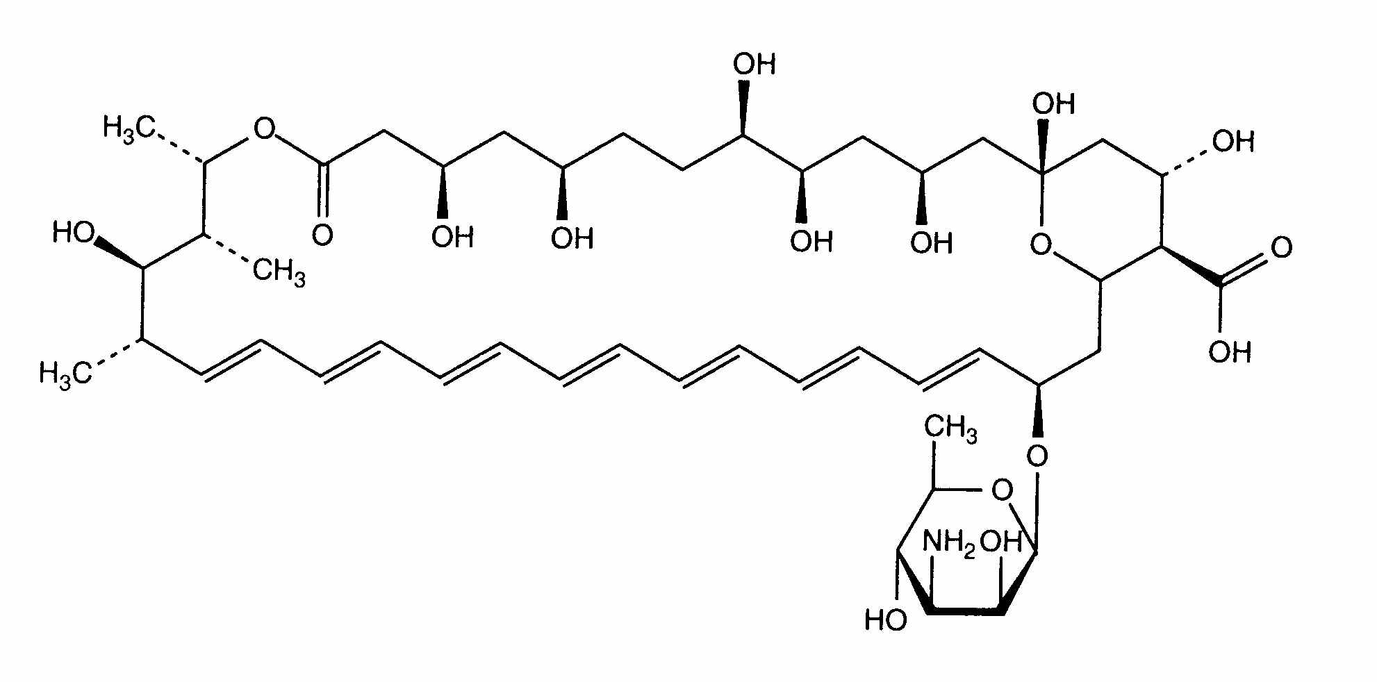
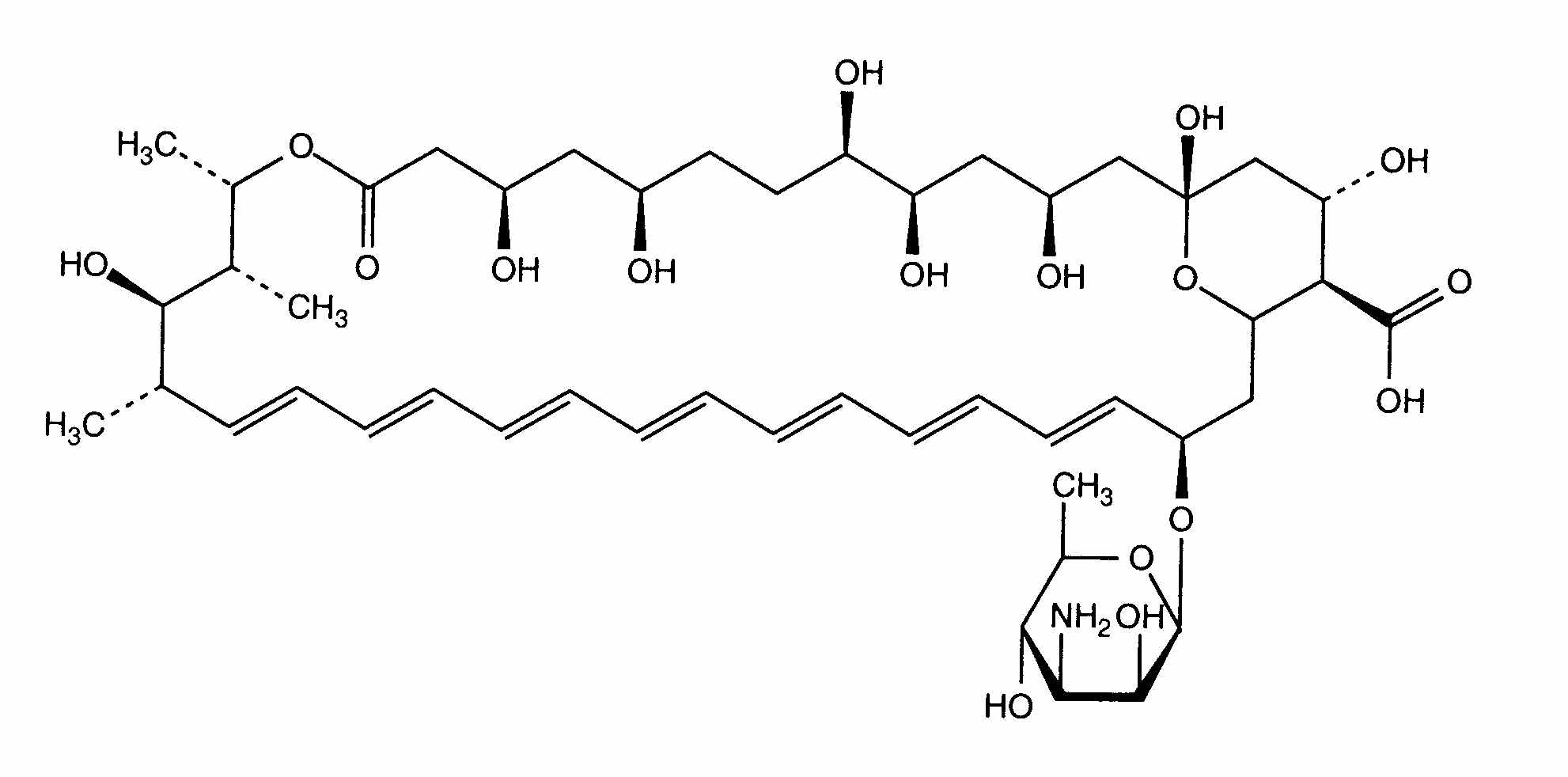
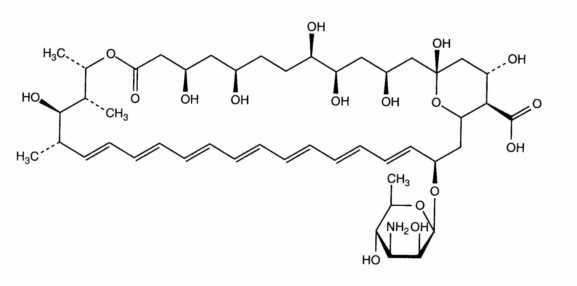
Liposoma   Cheminė sandara  

Akių lašai
Bibliografija   Akių lašai   Bibliografija : Amphotericin B liposomale  
tipas leidinys
2654 Žurnalas Morand K, Bartoletti AC, Bochot A, Barratt G, Brandely ML, Chast F.
Liposomal amphotericin B eye drops to treat fungal keratitis: physico-chemical and formulation stability.
Int J Pharm 2007 ; 344, 1-2: 150-153.

  Mentions Légales