Ultimele actualizari :
27/04/2026
Antifungic   Amphotericin B liposomale  
colir
Injectabil
Stabilitatea preparatelor farmaceutice Stabilitatea in amestec Factorii care influenteaza stabilitatea Compatibilitate Bibliografie pdf
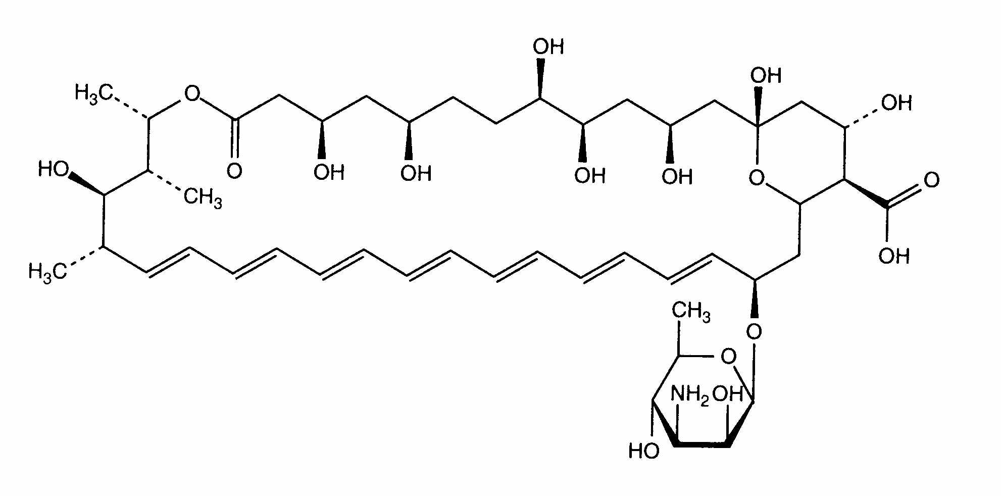
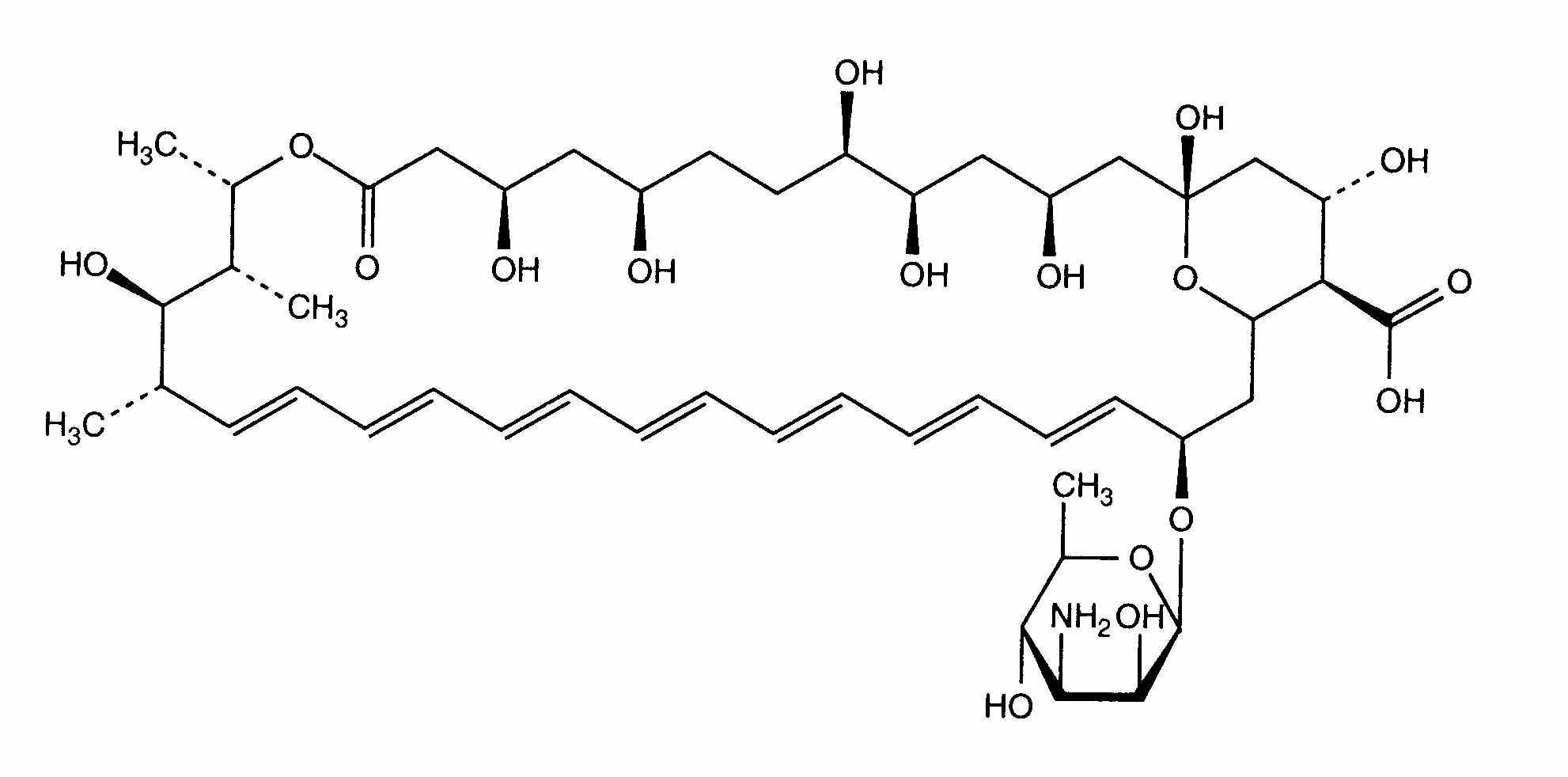
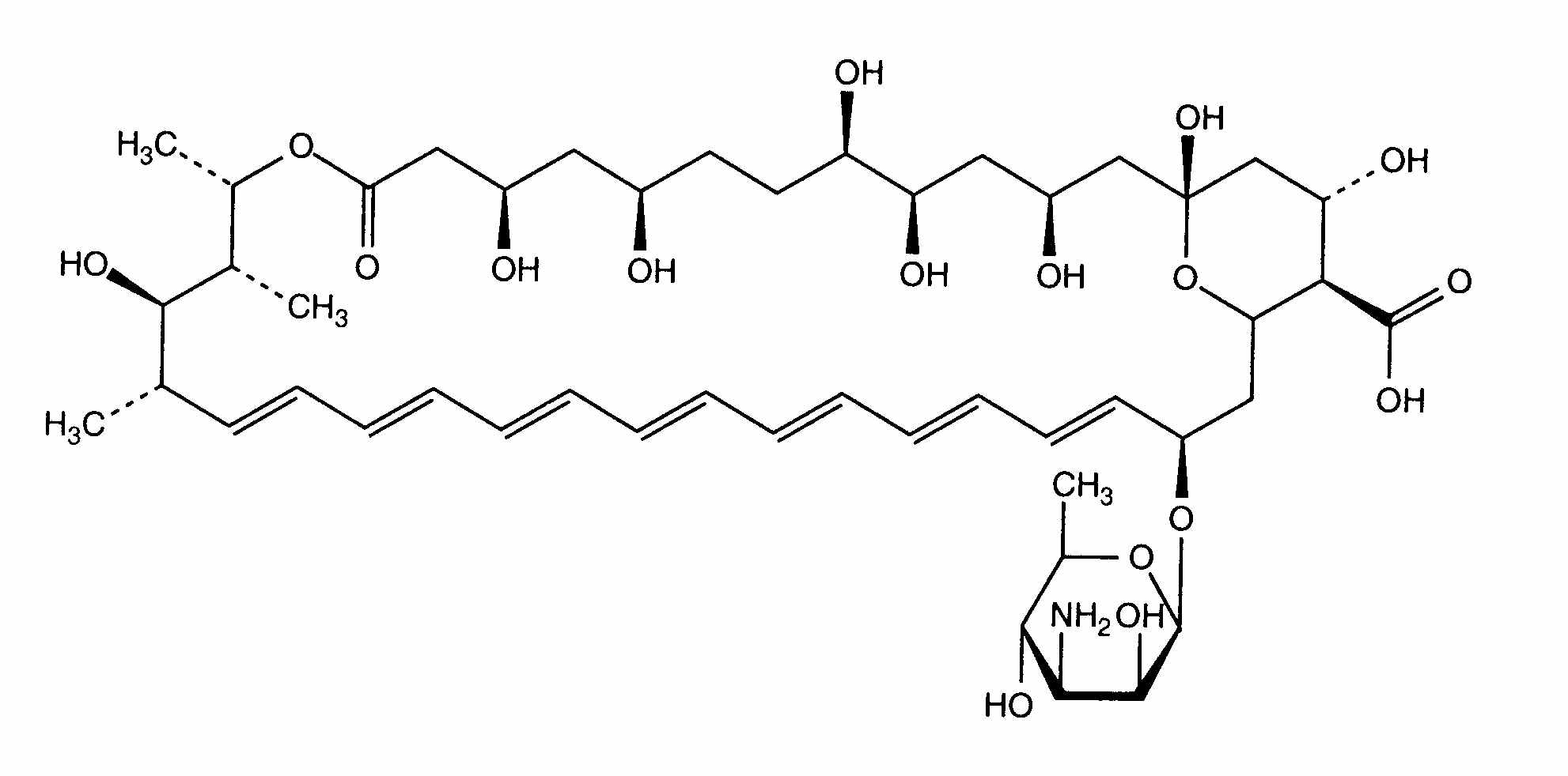
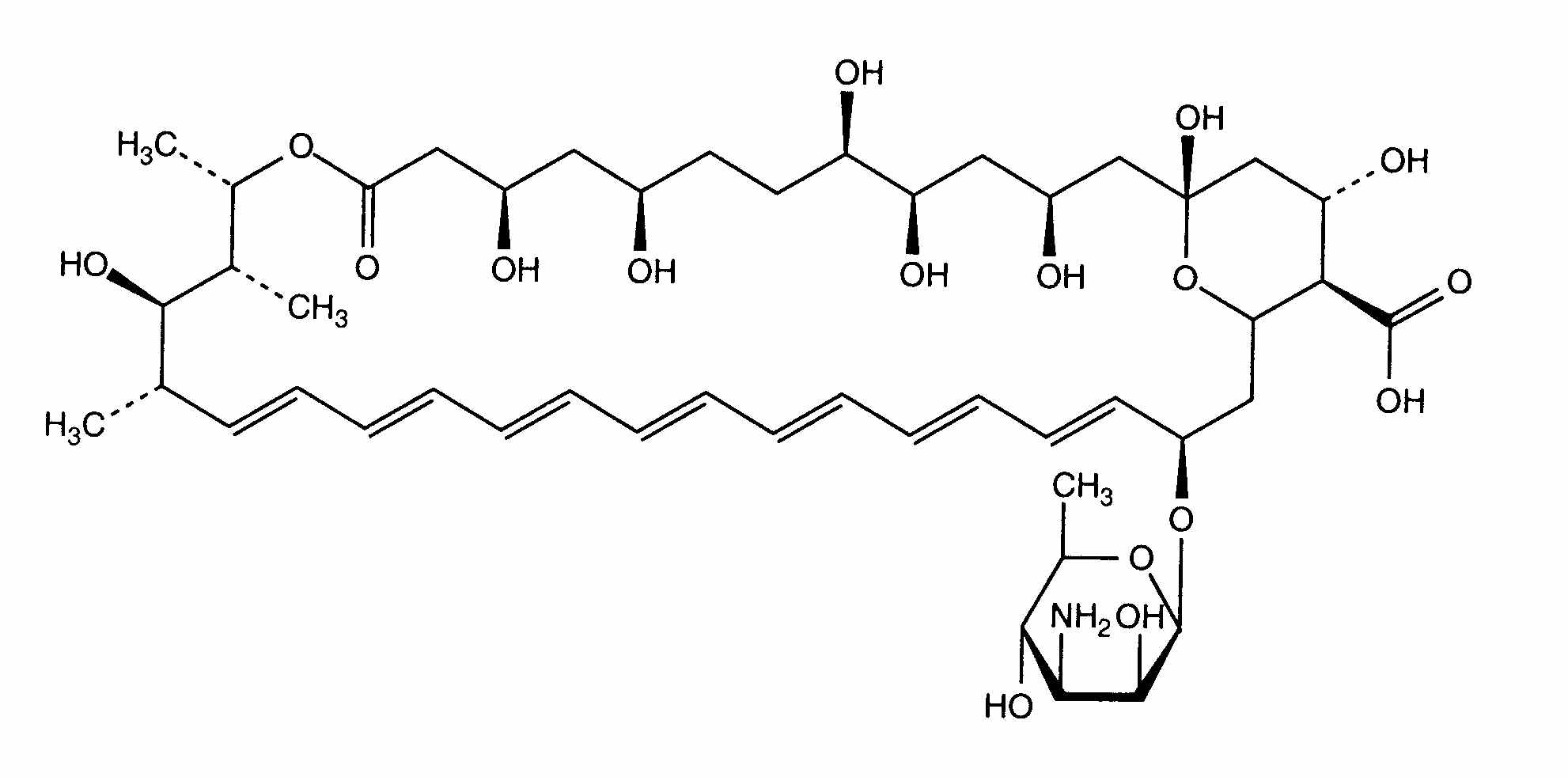
Lipozom   Formula chimica  

colir
Bibliografie   colir   Bibliografie : Amphotericin B liposomale  
tip publicare
2654 ziar Morand K, Bartoletti AC, Bochot A, Barratt G, Brandely ML, Chast F.
Liposomal amphotericin B eye drops to treat fungal keratitis: physico-chemical and formulation stability.
Int J Pharm 2007 ; 344, 1-2: 150-153.

  Mentions Légales