Последно актуализиране :
27/04/2026
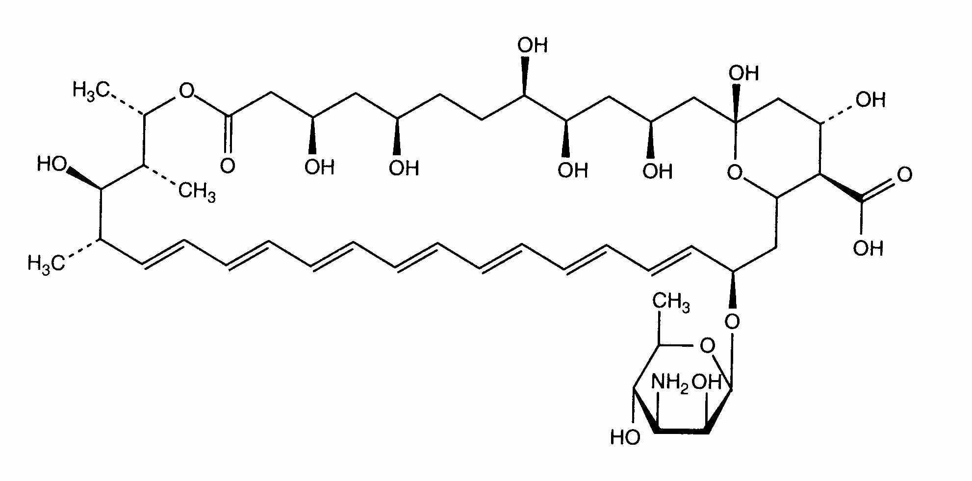
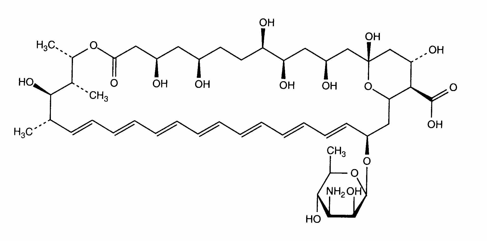
Противогъбично средство   Amphotericin B liposomale  
Капки за очи
Инжекция/Инжекционен
Стабилност на лекарствени препарати Стабилност на смеси Фактори, повлияващи стабилността Съвместимост Библиография Pdf
липозомен   Химична структура  

Капки за очи
Библиография   Капки за очи   Библиография : Amphotericin B liposomale  
Вид Публикация
2654 Списание Morand K, Bartoletti AC, Bochot A, Barratt G, Brandely ML, Chast F.
Liposomal amphotericin B eye drops to treat fungal keratitis: physico-chemical and formulation stability.
Int J Pharm 2007 ; 344, 1-2: 150-153.

  Mentions Légales