Laatste update :
27/04/2026
Antimycoticum   Amphotericin B liposomale  
Oogwater
injecteerbaar geneesmiddel
Stabiliteit van farmaceutische preparaten Stabiliteit in mengsels Factoren die de stabiliteit beïnvloeden Verenigbaarheden Literatuur pdf
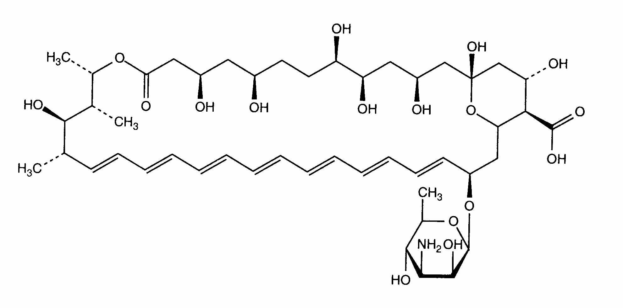
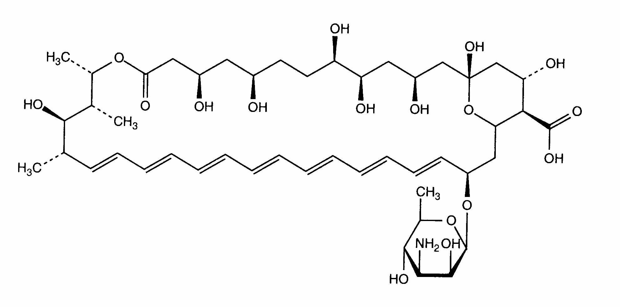
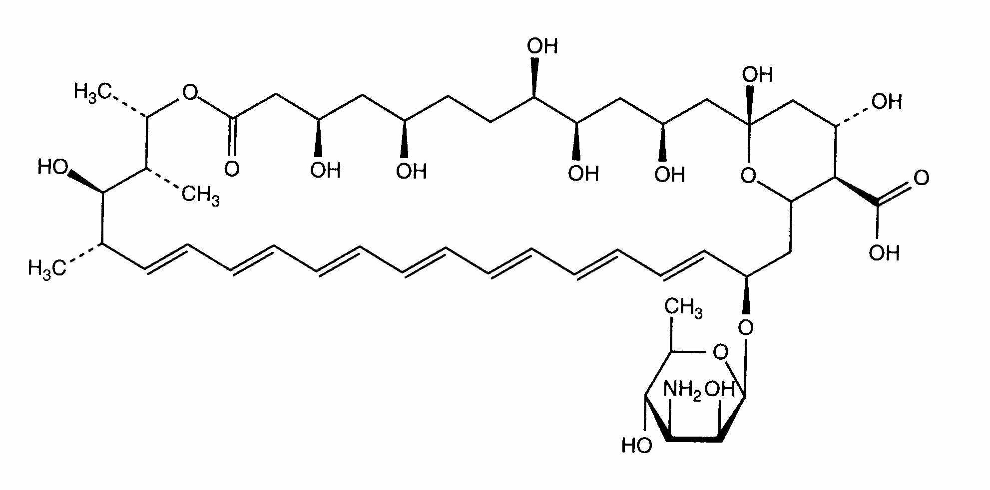
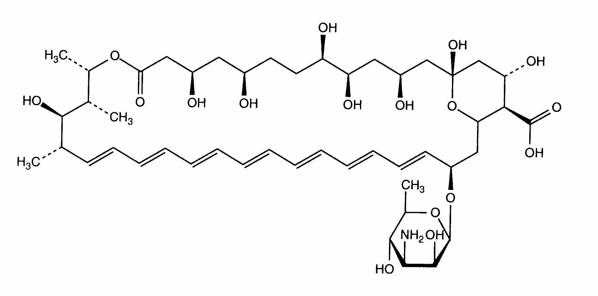
Liposomen   Molecuulstructuur  

Oogwater
Literatuur   Oogwater   Literatuur : Amphotericin B liposomale  
type publicatie
2654 Artikel Morand K, Bartoletti AC, Bochot A, Barratt G, Brandely ML, Chast F.
Liposomal amphotericin B eye drops to treat fungal keratitis: physico-chemical and formulation stability.
Int J Pharm 2007 ; 344, 1-2: 150-153.

  Mentions Légales