Τελευταία ενημέρωση :
27/04/2026
Αντιμυκητικό   Amphotericin B liposomale  
Οφθαλμικές σταγόνες
Ενέσιμο
Σταθερότητα και συμβατότητα των φαρμάκων Σταθερότητα σε μίγματα Παράγοντας που επηρεάζει τη σταθερότητα Συμβατότητες Βιβλιογραφία pdf
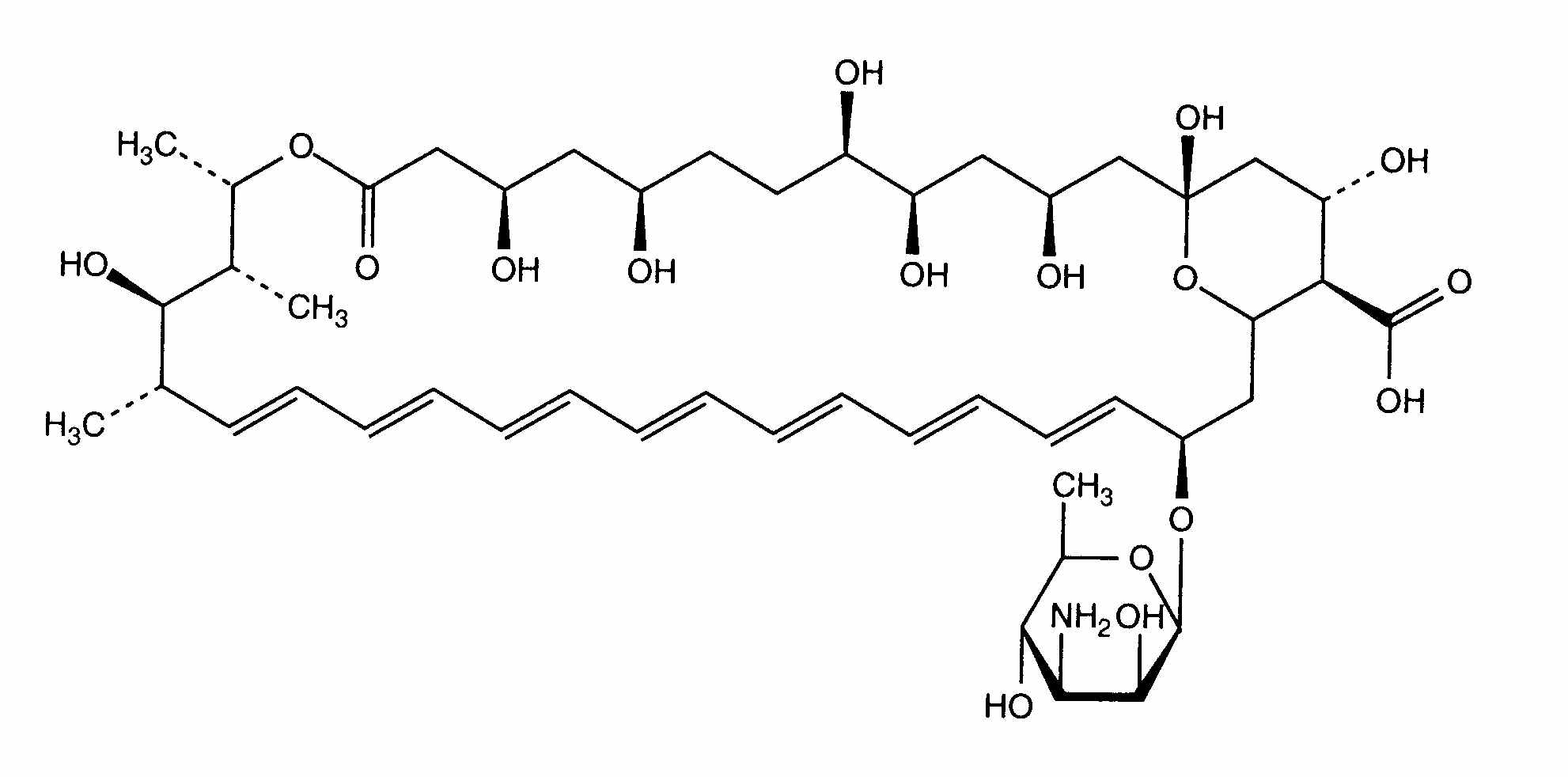
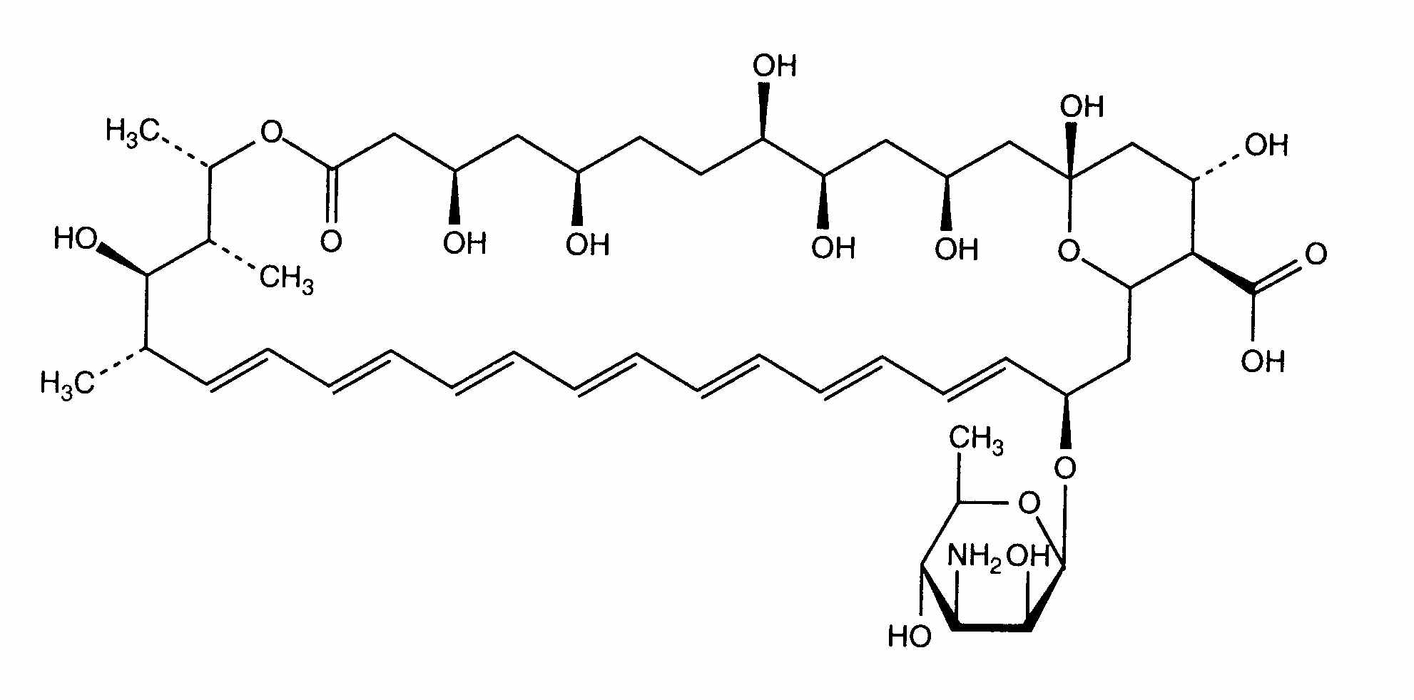
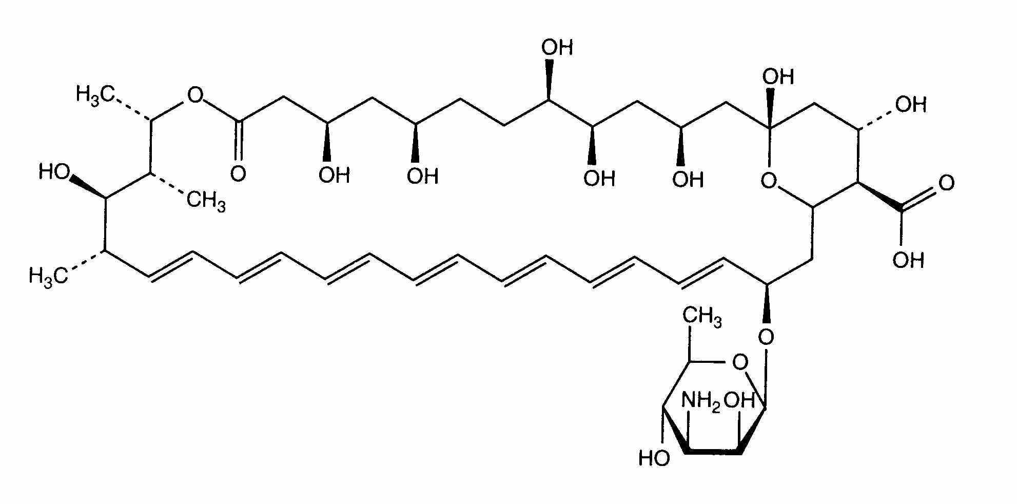
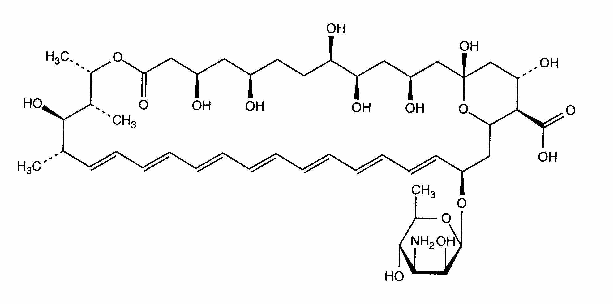
Λιπόσωμα   χημική δομή  

Οφθαλμικές σταγόνες
Βιβλιογραφία   Οφθαλμικές σταγόνες   Βιβλιογραφία : Amphotericin B liposomale  
τύπος δημοσίευση
2654 εφημερίδα Morand K, Bartoletti AC, Bochot A, Barratt G, Brandely ML, Chast F.
Liposomal amphotericin B eye drops to treat fungal keratitis: physico-chemical and formulation stability.
Int J Pharm 2007 ; 344, 1-2: 150-153.

  Mentions Légales