Viimeisin päivitys :
27/04/2026
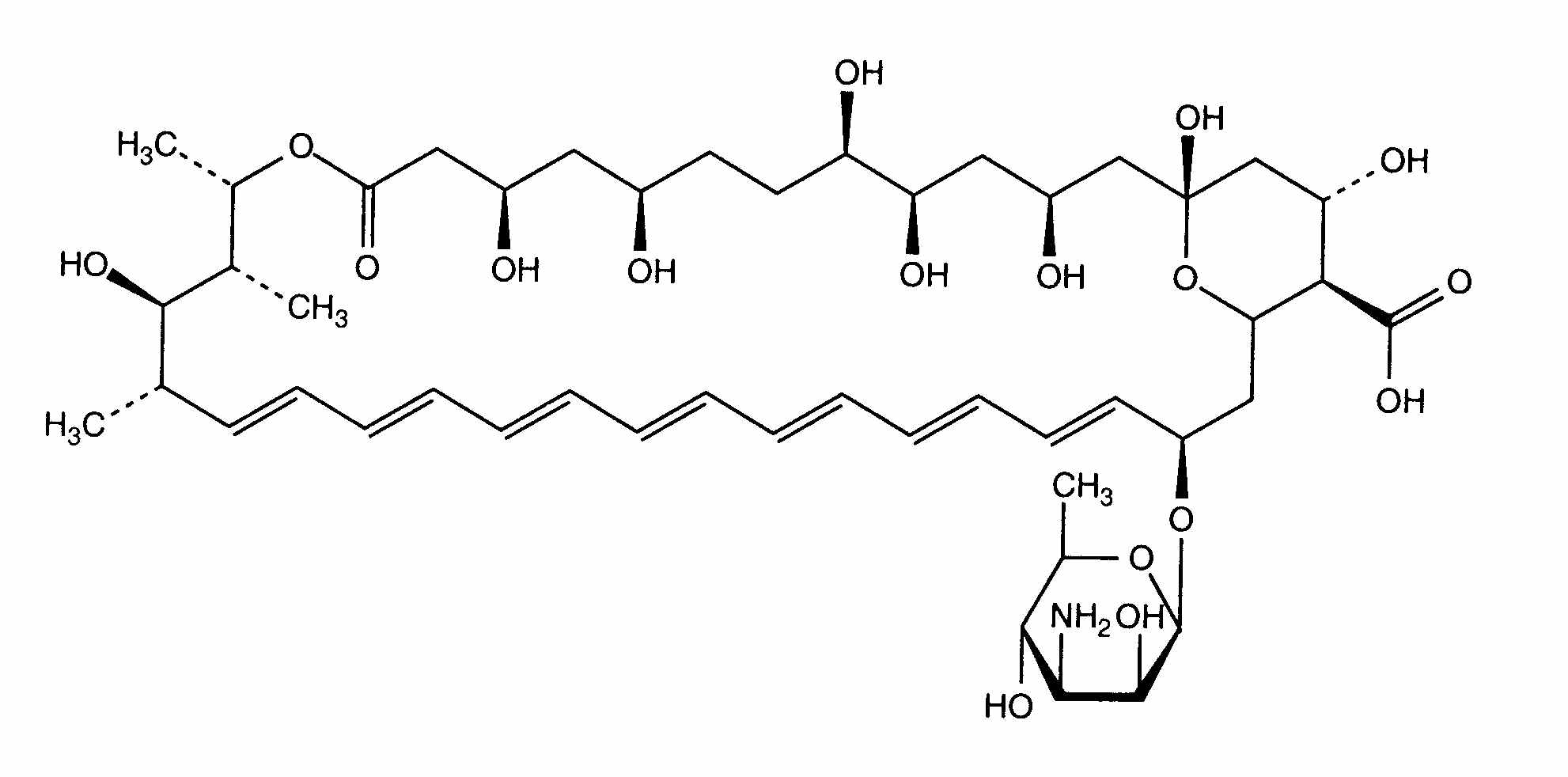
Sienilääkkeet   Amphotericin B liposomale  
Silmätipat
Injektioneste
Vakaus lääkevalmisteen Stabilius seoksissa Tekijät, jotka vaikuttavat stabiliuteen Yhteensopivuus Viitteet pdf
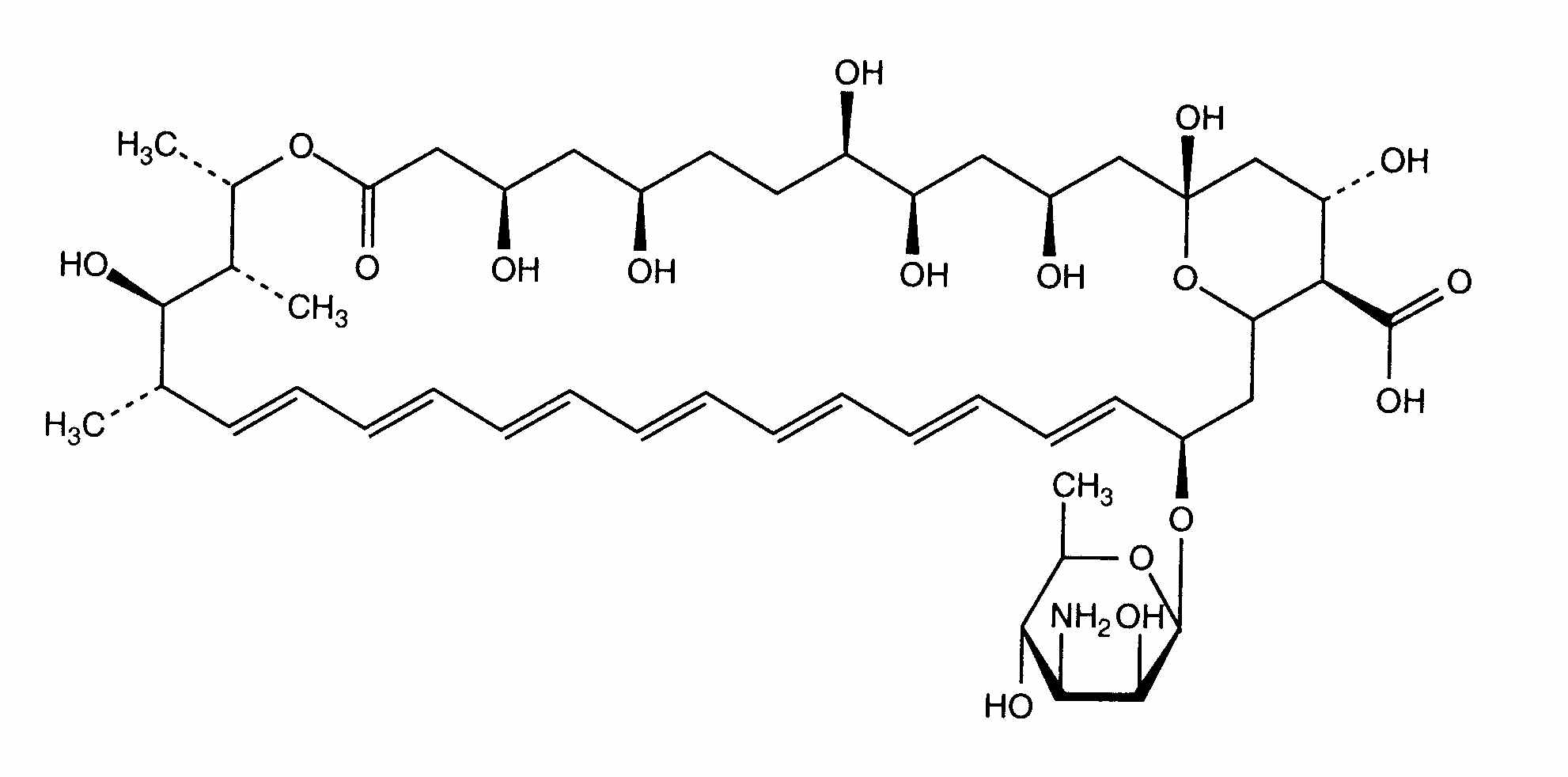
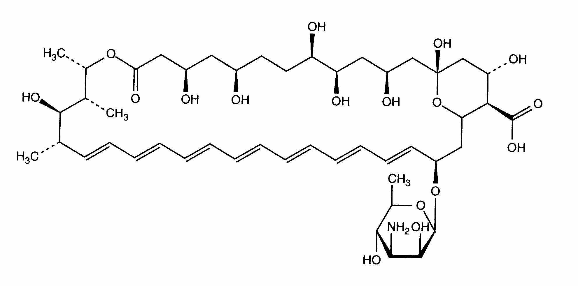
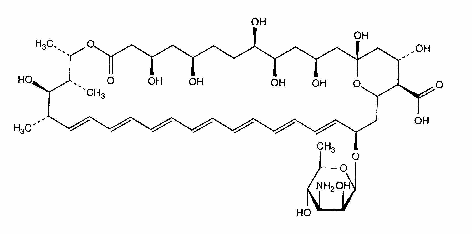
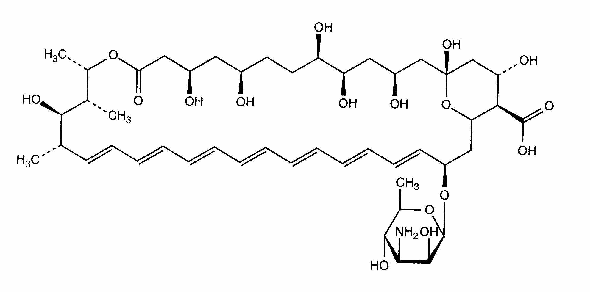
Liposomi   Kemiallinen rakenne  

Silmätipat
Viitteet   Silmätipat   Viitteet : Amphotericin B liposomale  
tyyppi julkaisu
2654 Lehti Morand K, Bartoletti AC, Bochot A, Barratt G, Brandely ML, Chast F.
Liposomal amphotericin B eye drops to treat fungal keratitis: physico-chemical and formulation stability.
Int J Pharm 2007 ; 344, 1-2: 150-153.

  Mentions Légales