Останнє оновлення :
27/04/2026
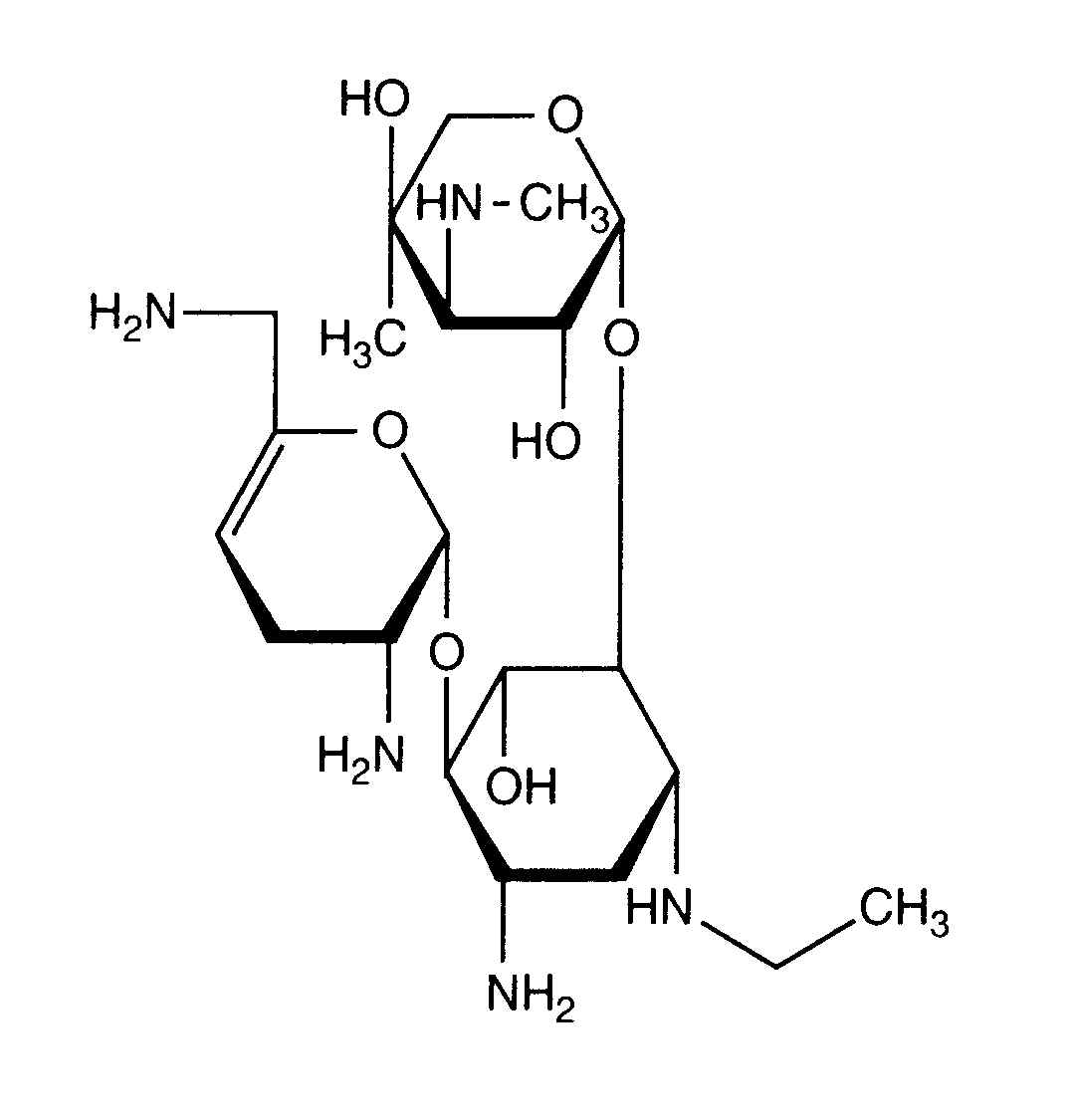
Антибіотик   Netilmicin sulfate   
аерозоль
ін'єкція
Стабільність фармацевтичних препаратів Стійкість сумішей Фактори, що впливають на стабільність Сумісність Список літератури pdf
   Хімічна структура  

аерозоль
Сумісність   аерозоль   Сумісність : Netilmicin sulfate               
7 / 5 000 Résultats de traduction Немає даних

  Mentions Légales