Última actualización :
27/04/2026
Antibiótico   Netilmicin sulfate   
Aerosol
Inyectables
La estabilidad de las preparaciones farmacéuticas Estabilidad en mezcla Factores que influyen sobre la estabilidad Compatibilidades Bibliografía pdf
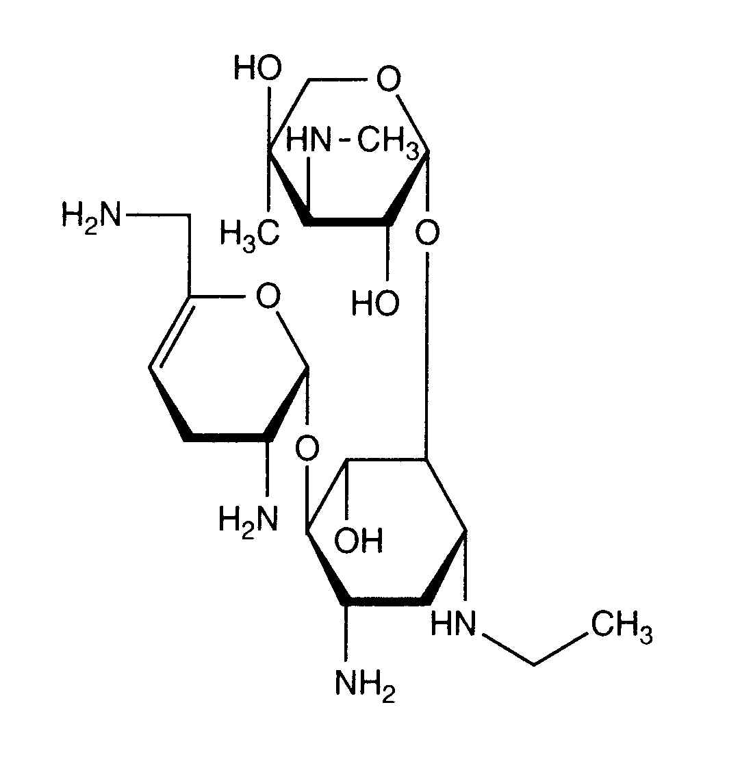
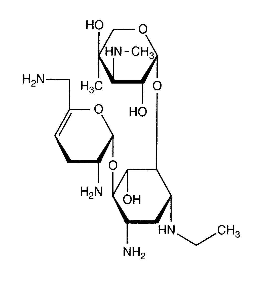
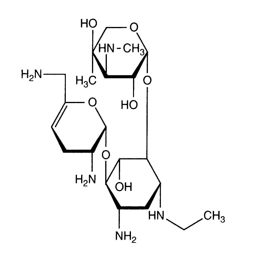
   Estructura química  

Aerosol
Compatibilidades   Aerosol   Compatibilidades : Netilmicin sulfate               
Ausencia de datos

  Mentions Légales