Τελευταία ενημέρωση :
27/04/2026
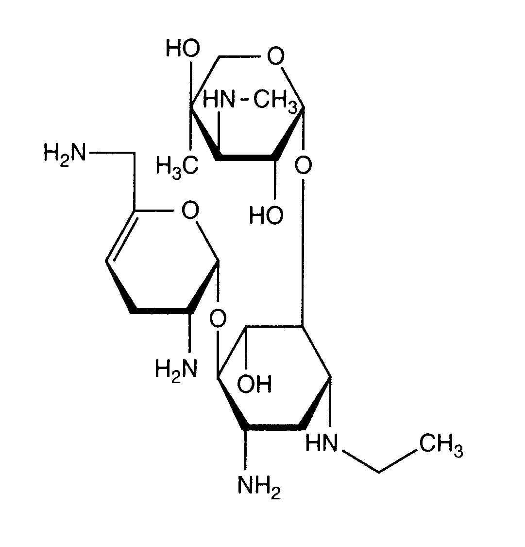
Αντιβιοτικό   Netilmicin sulfate   
Αεροζόλ
Ενέσιμο
Σταθερότητα και συμβατότητα των φαρμάκων Σταθερότητα σε μίγματα Παράγοντας που επηρεάζει τη σταθερότητα Συμβατότητες Βιβλιογραφία pdf
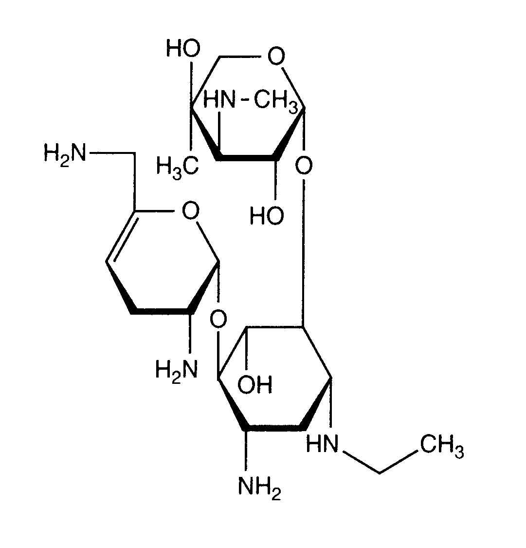
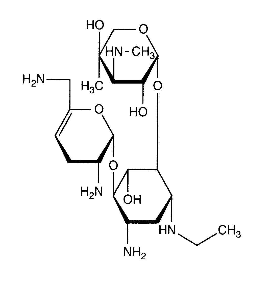
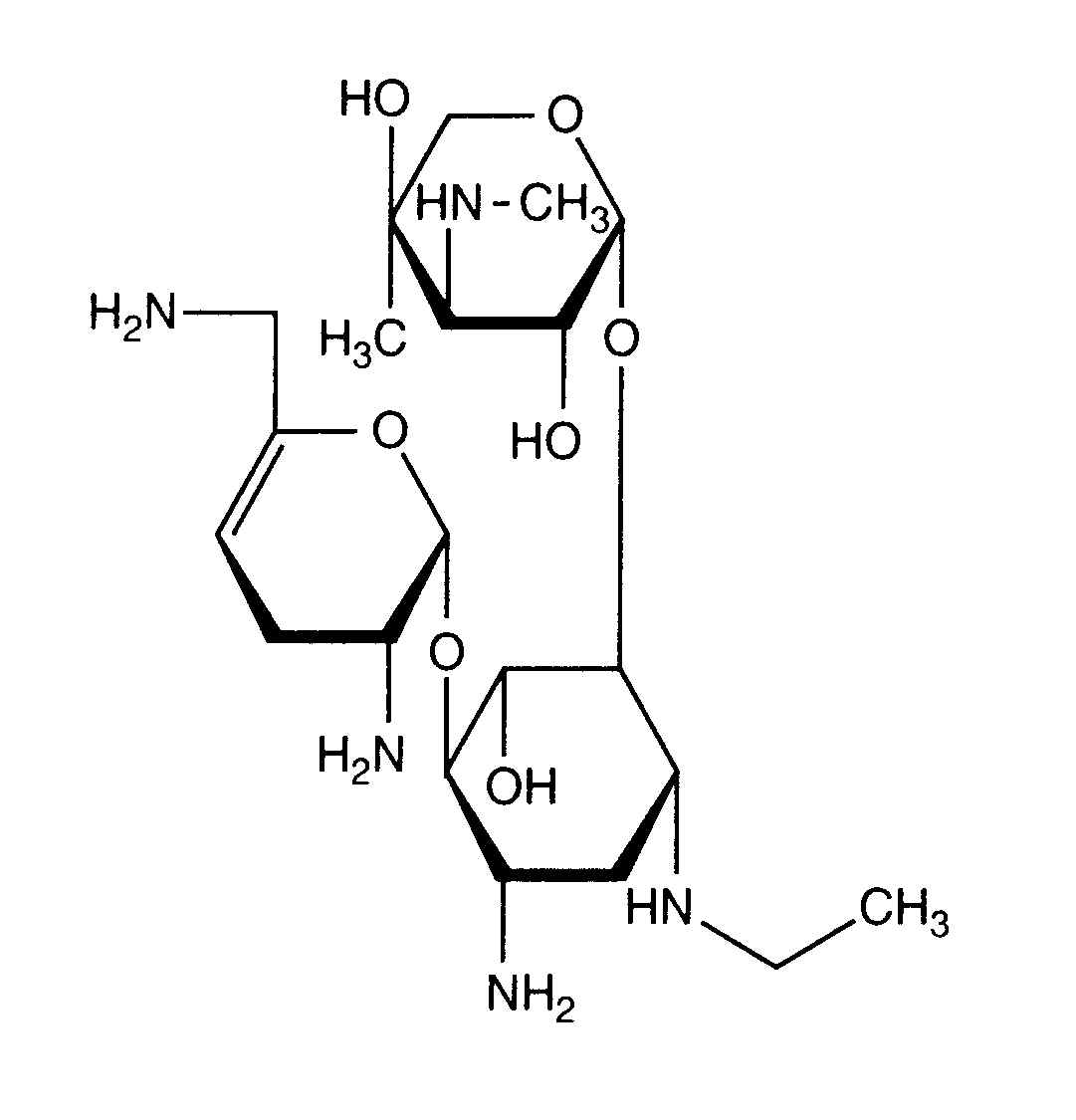
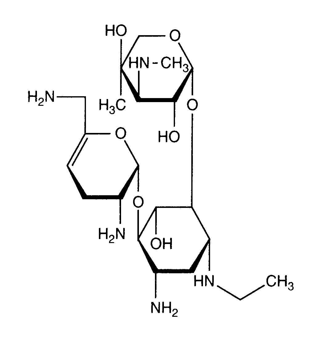
   χημική δομή  

Αεροζόλ
Συμβατότητες    Αεροζόλ   Συμβατότητες : Netilmicin sulfate               
Δεν υπάρχουν πληροφορίες

  Mentions Légales