zadnja posodobitev :
27/04/2026
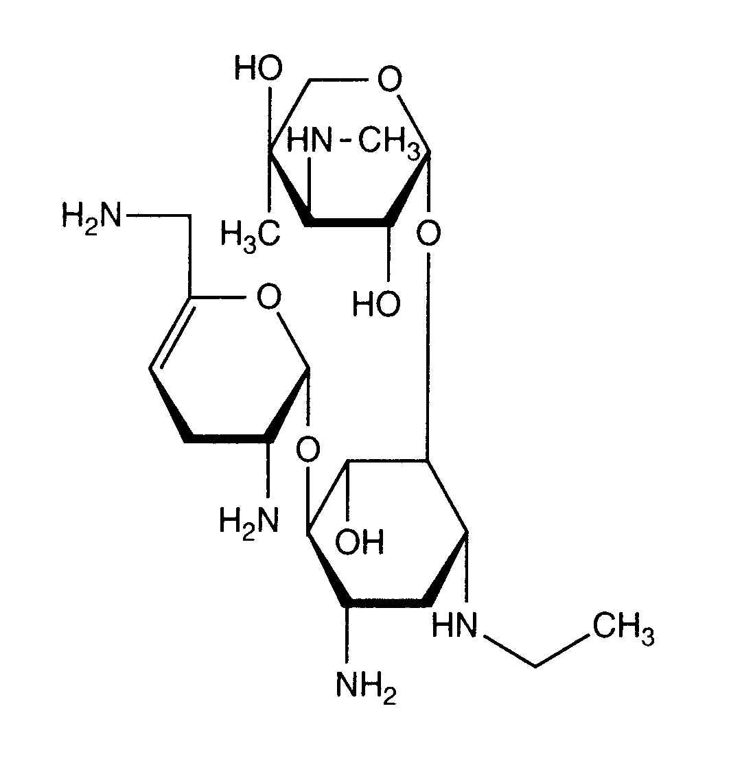
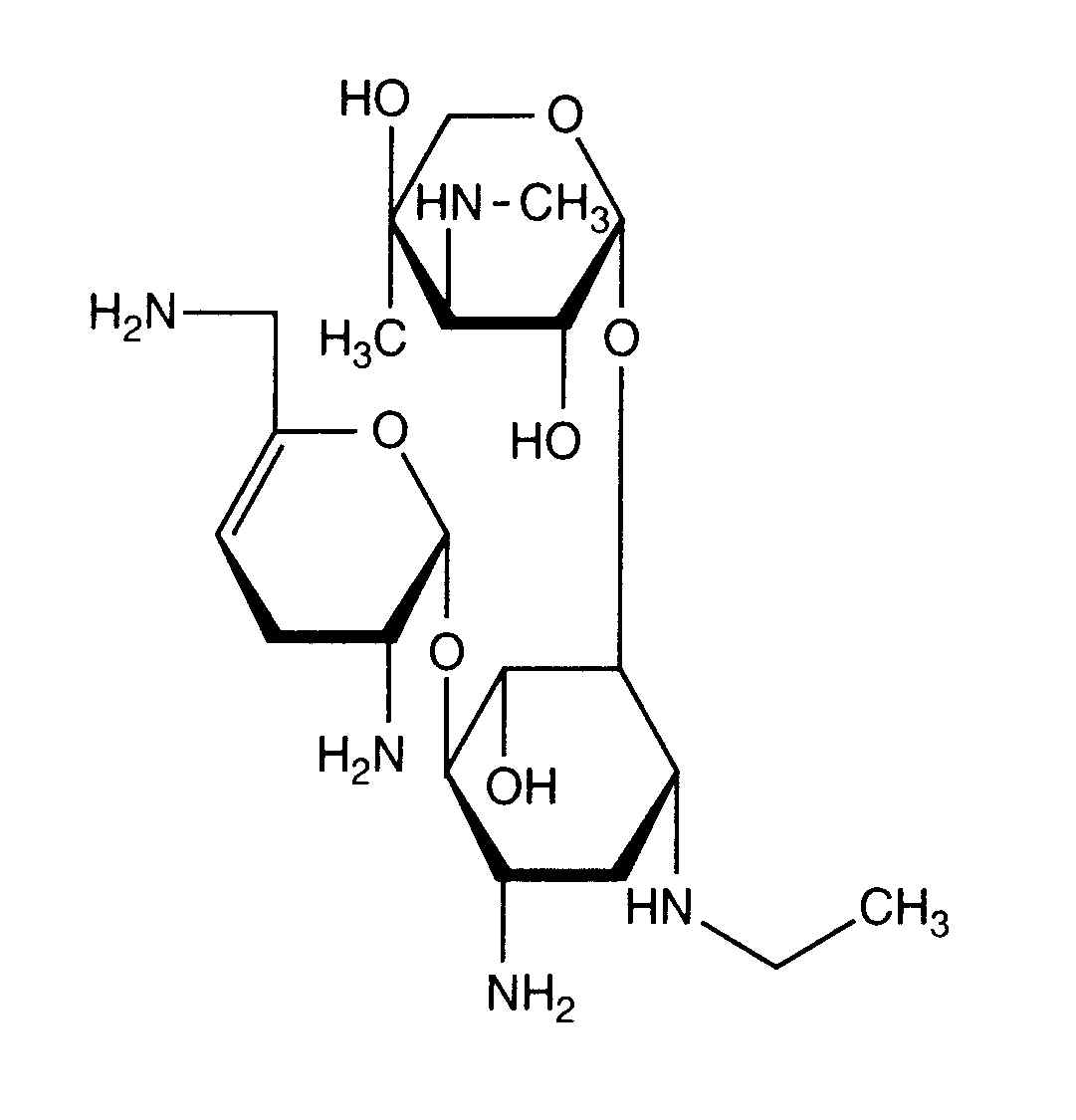
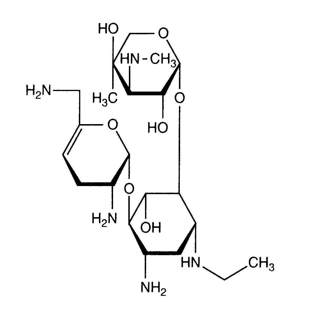
Antibiotik   Netilmicin sulfate   
Aerosol
Brizgalka
Stabilnost farmacevtskih preparatov Stabilnost mešanice Faktorji, ki vplivajo na stabilnost Kompatibilnost Viri pdf
   Kemična formula  

Aerosol
Kompatibilnost   Aerosol   Kompatibilnost : Netilmicin sulfate               
ni podatka

  Mentions Légales