Utolsó frissítés :
27/04/2026
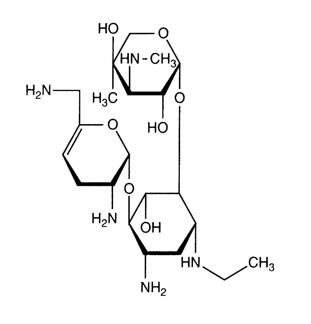
Antibiotikum   Netilmicin sulfate   
aeroszol
Injekció
Stabilitása gyógyszerészeti készítmények A keverékek stabilitása Stabilitást befolyásoló tényezők Kompatibilitás Irodalom pdf
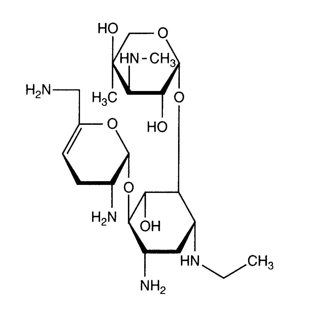
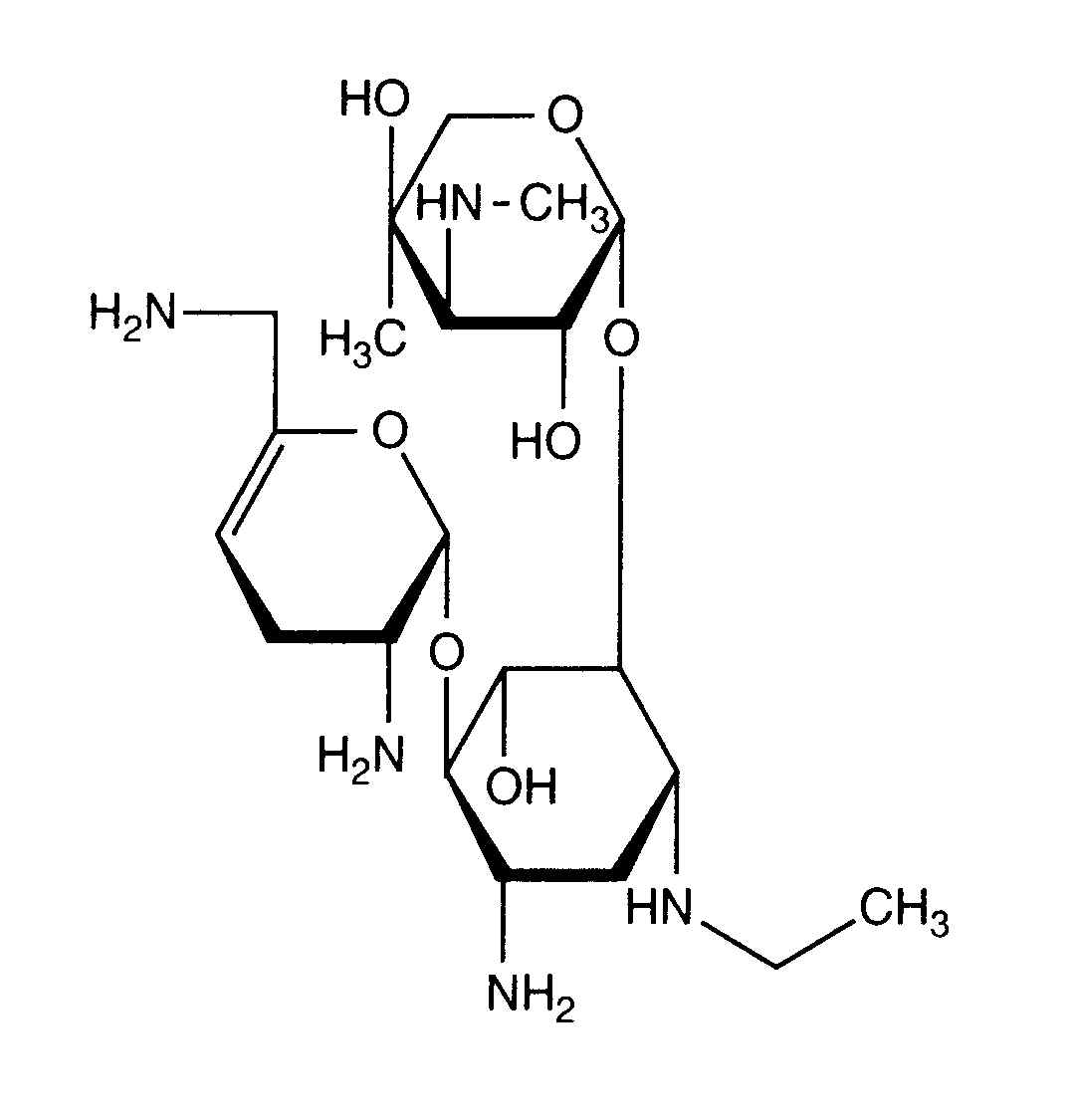
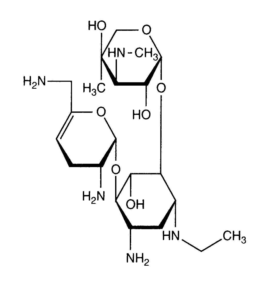
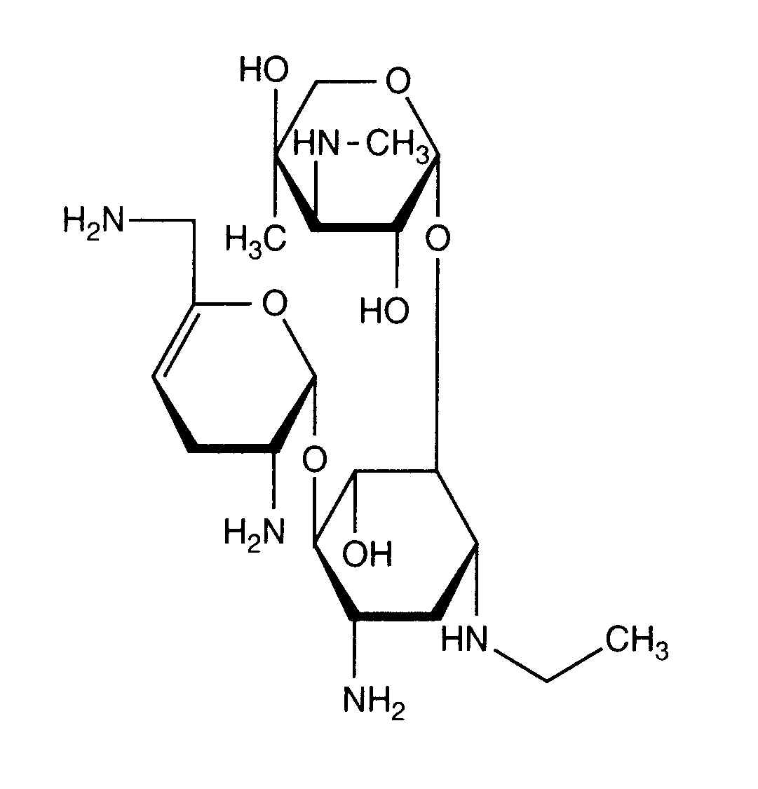
   Kémiai szerkezet   

aeroszol
Kompatibilitás   aeroszol   Kompatibilitás : Netilmicin sulfate               
Hiányzó adat

  Mentions Légales