Son güncelleme :
27/04/2026
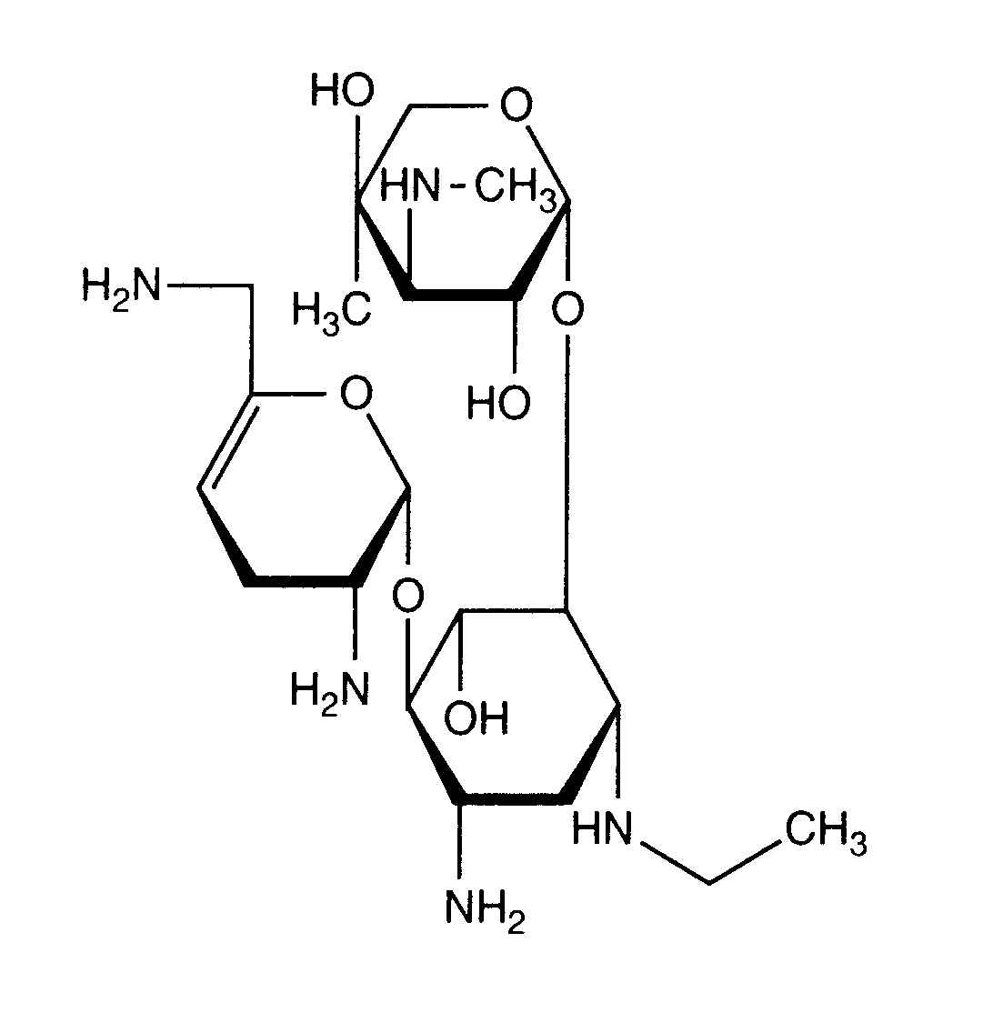
Antibiyotik   Netilmicin sulfate   
Aerosol
Enjeksiyon
Farmasötik preparatlar Kararlılığı Karışımlardaki stabilitesi Stabiliteyi etkileyen faktörler Uyumluluk Kaynaklar pdf
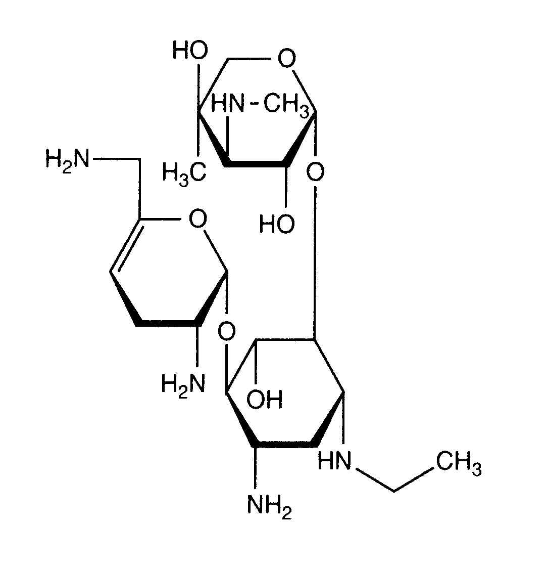
   Kimyasal yapı   

Aerosol
Uyumluluk   Aerosol   Uyumluluk : Netilmicin sulfate               
veri yok

  Mentions Légales