Laatste update :
27/04/2026
Antibioticum   Netilmicin sulfate   
Aerosol
injecteerbaar geneesmiddel
Stabiliteit van farmaceutische preparaten Stabiliteit in mengsels Factoren die de stabiliteit beïnvloeden Verenigbaarheden Literatuur pdf
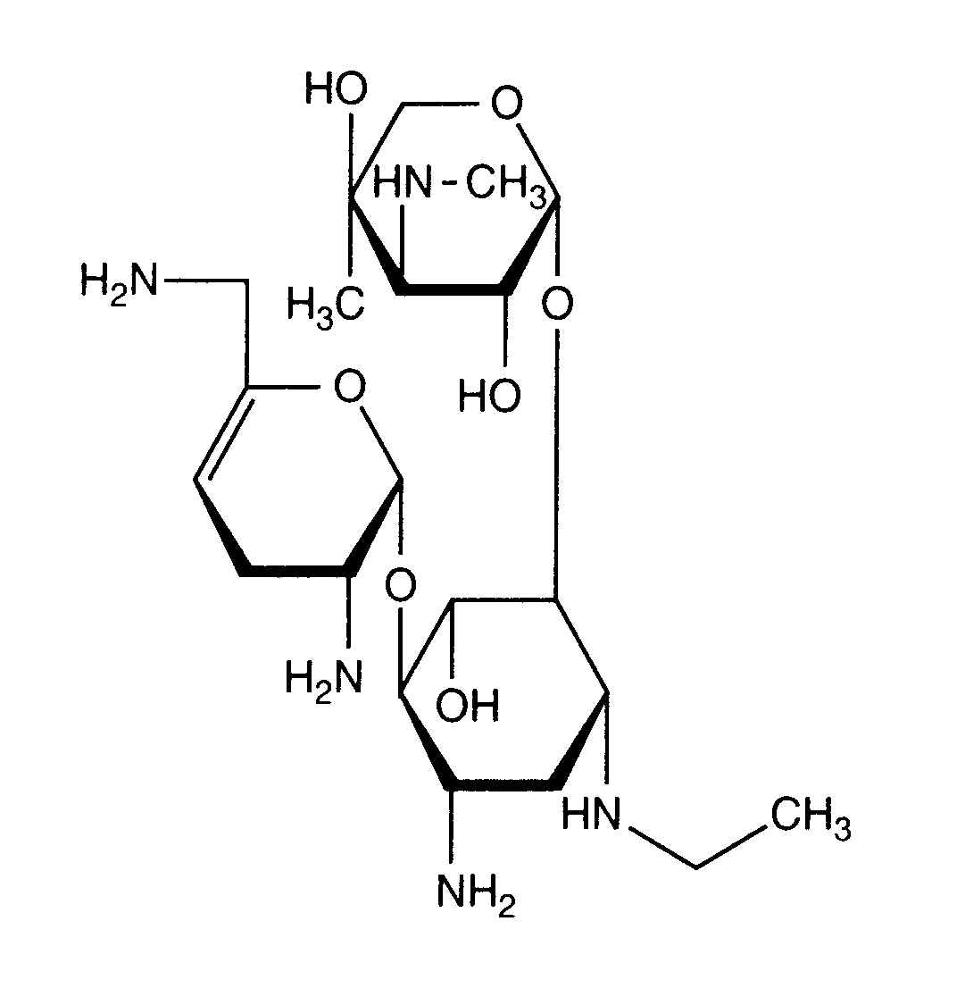
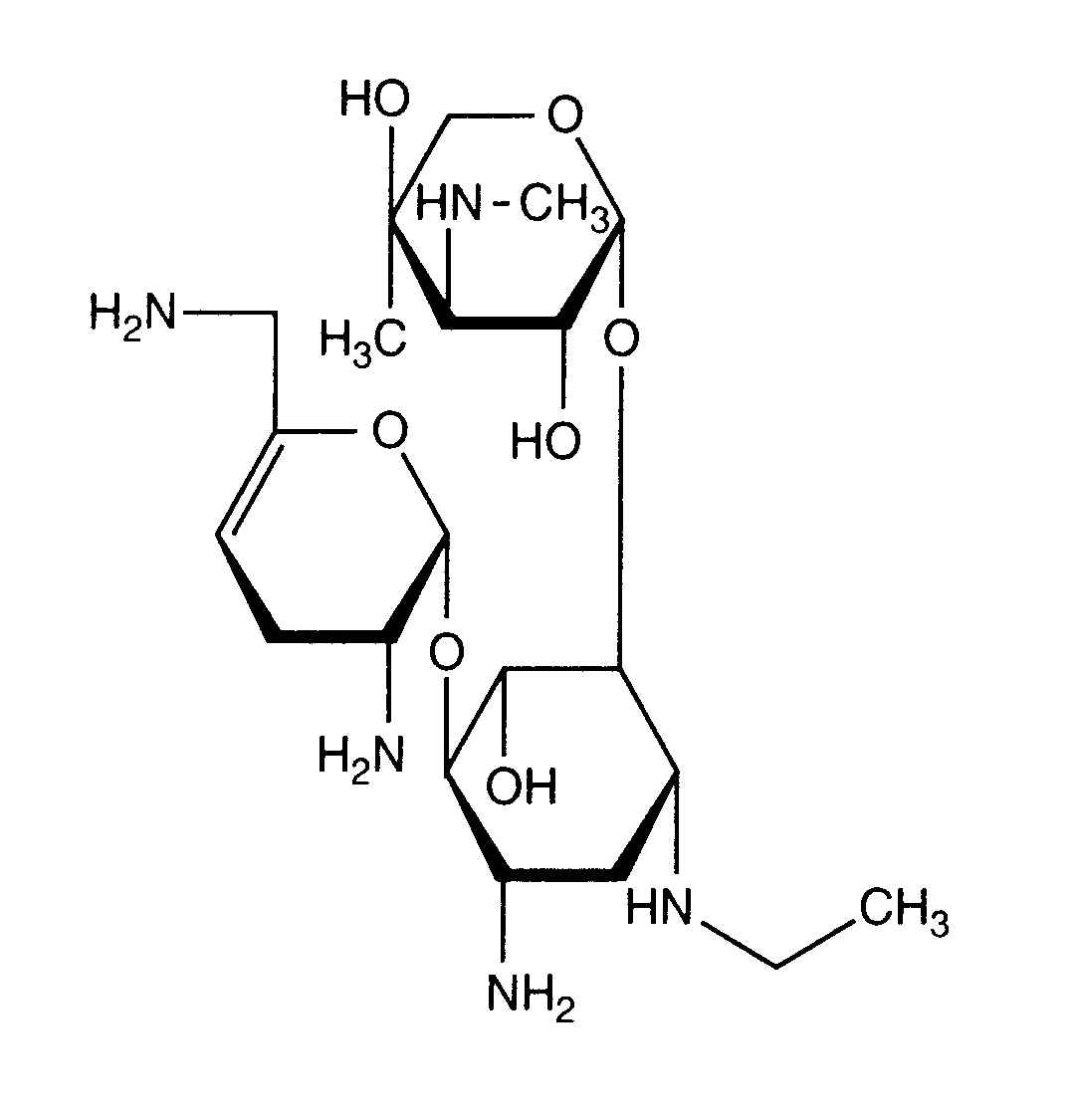
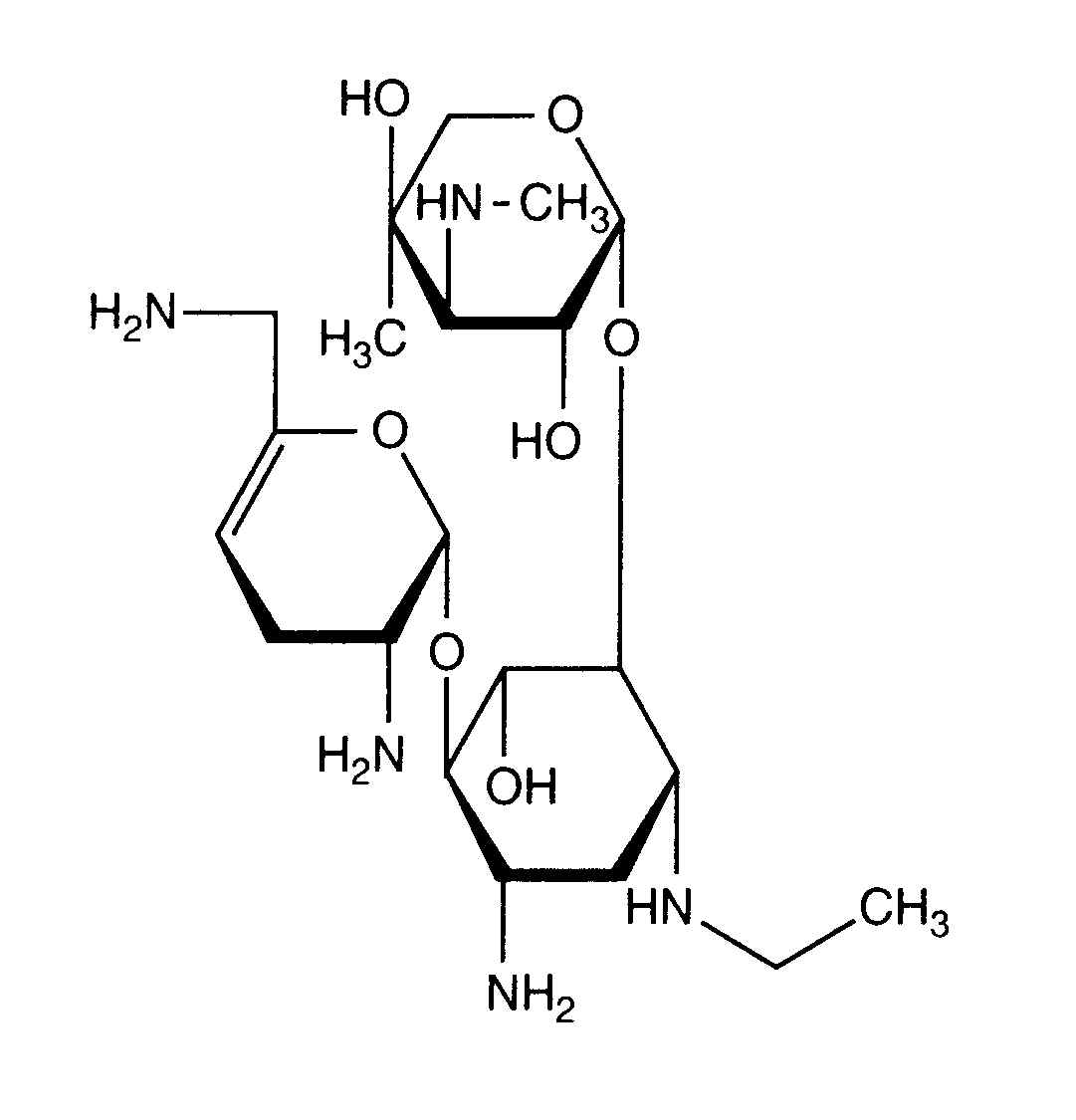
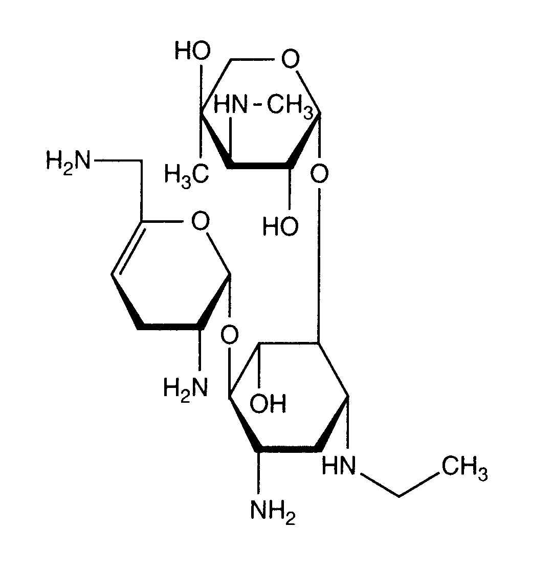
   Molecuulstructuur  

Aerosol
Verenigbaarheden   Aerosol   Verenigbaarheden : Netilmicin sulfate               
geen gegevens

  Mentions Légales