Zadnji put ažurirano :
27/04/2026
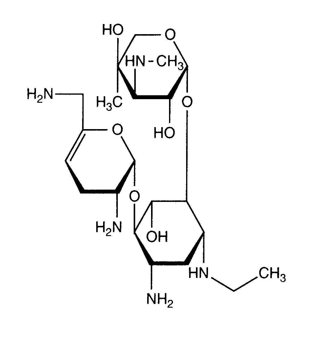
antibiotik   Netilmicin sulfate   
aerosol
injekcija
Stabilnost farmaceutskih pripravaka Stabilnost mješavine Stabilizacijski faktor Kompatibilnosti Bibliografija pdf
   Kemijska struktura  

aerosol
Kompatibilnosti   aerosol   Kompatibilnosti : Netilmicin sulfate               
bez podataka

  Mentions Légales