Последно актуализиране :
27/04/2026
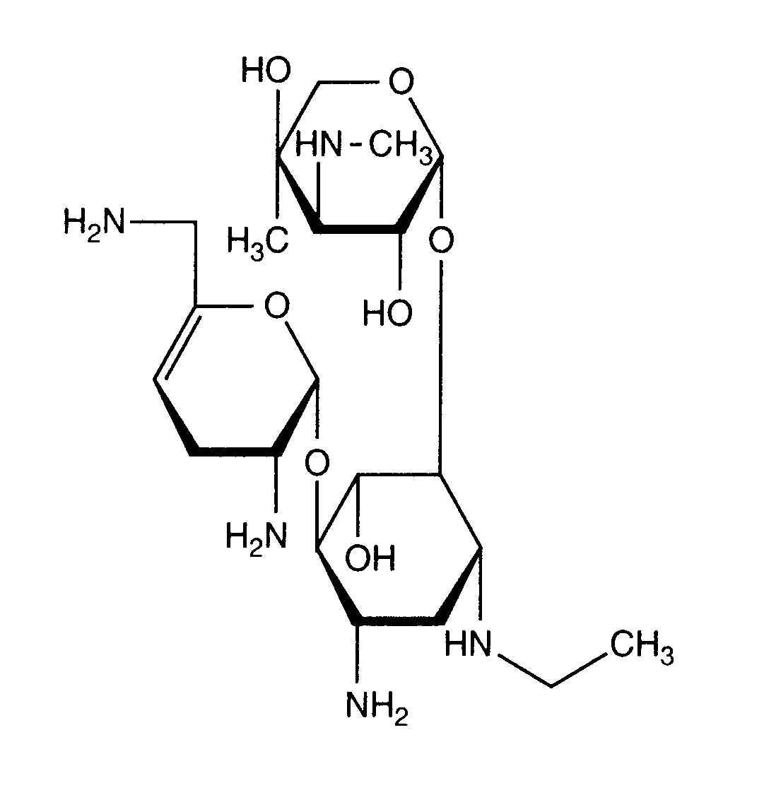
Антибиотик   Netilmicin sulfate   
Аерозол
Инжекция/Инжекционен
Стабилност на лекарствени препарати Стабилност на смеси Фактори, повлияващи стабилността Съвместимост Библиография Pdf
   Химична структура  

Аерозол
Съвместимост   Аерозол   Съвместимост : Netilmicin sulfate               
Няма данни

  Mentions Légales