viimane versioon :
27/04/2026
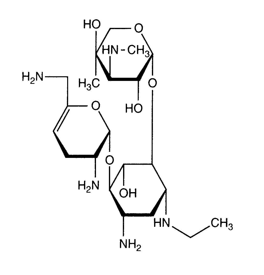
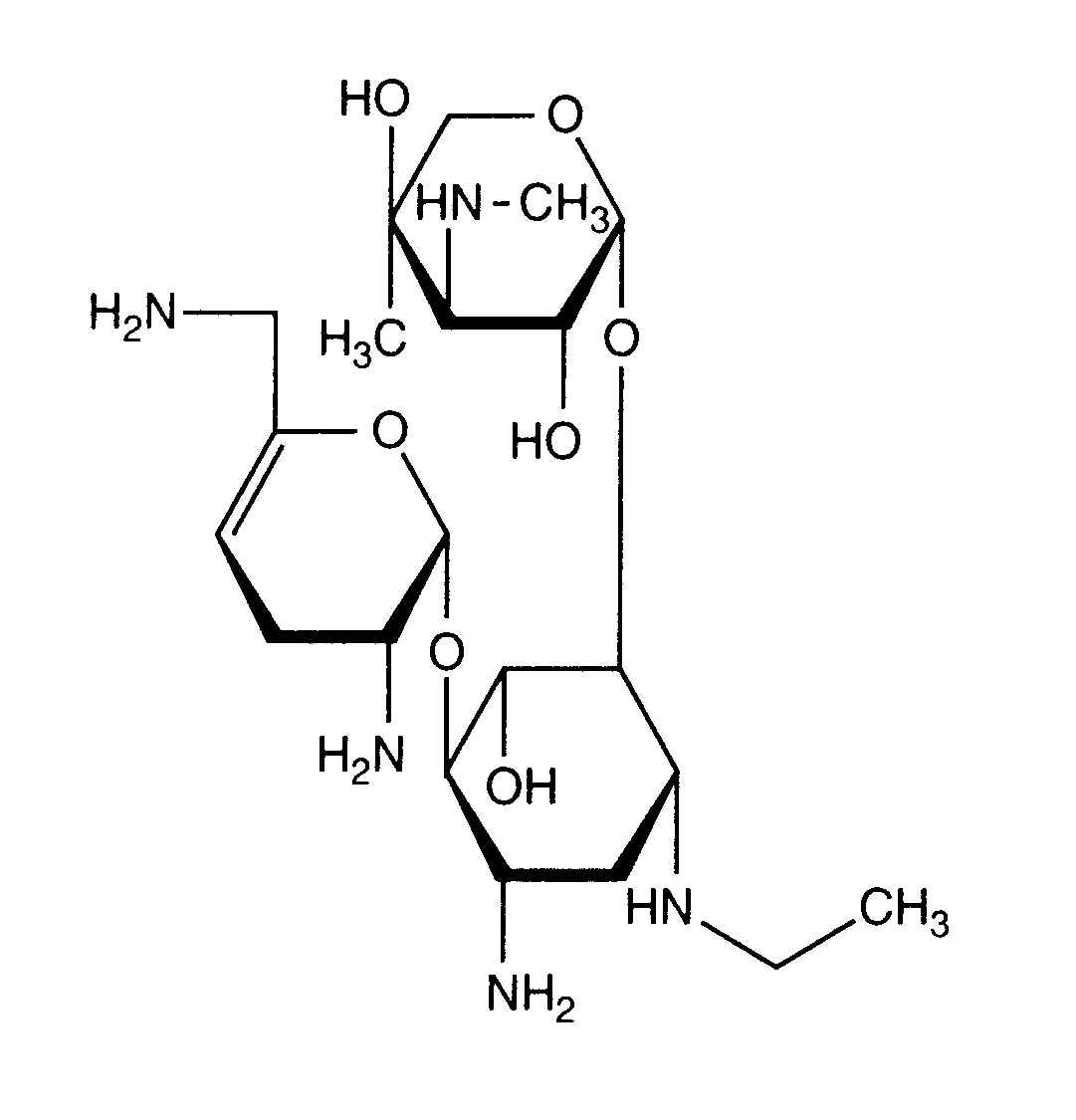
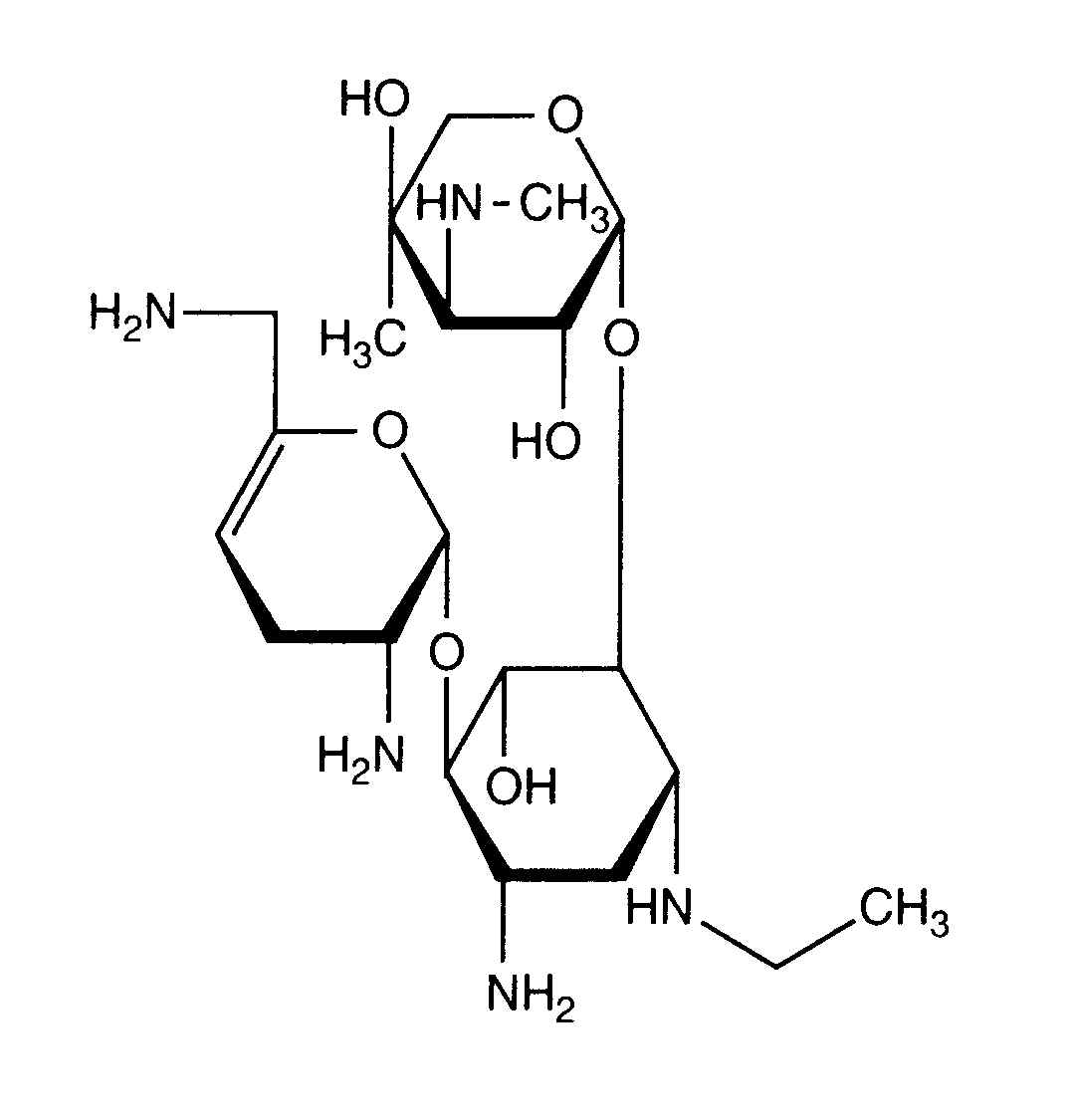
antibiootikum   Netilmicin sulfate   
aerosool
Süsteravim
Stabiilsust ravimpreparaadid Stabiilsust mõjutavad tegurid stabiilsust mõjutavad faktorid Sobimatus Viited pdf
   keemiline struktuur  

aerosool
Sobimatus   aerosool   Sobimatus : Netilmicin sulfate               
andmed puuduvad

  Mentions Légales