Seneste opdatering :
27/04/2026
Antibiotisk   Netilmicin sulfate   
Aerosol
Injektion
Stabilitet af farmaceutiske tilberedninger Stabilitet i blandinger Faktorer der påvirker stabiliteten Kompatibilitet Bibliografi pdf
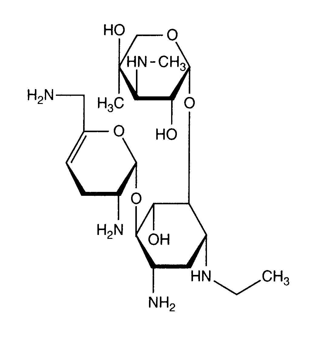
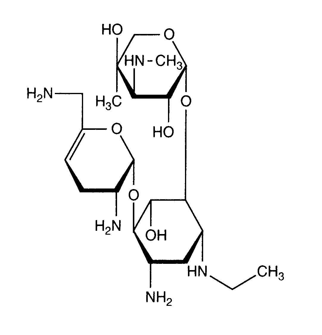
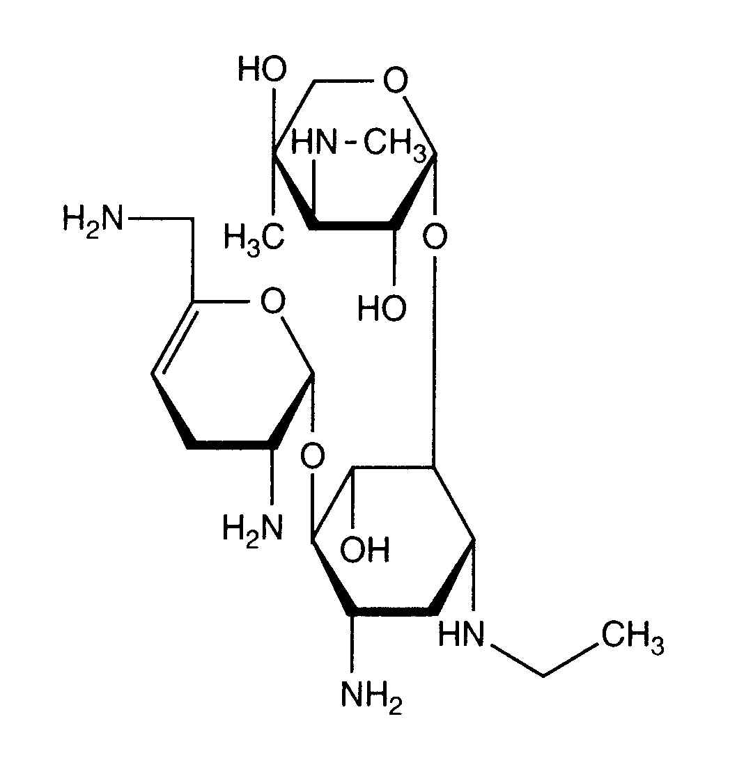
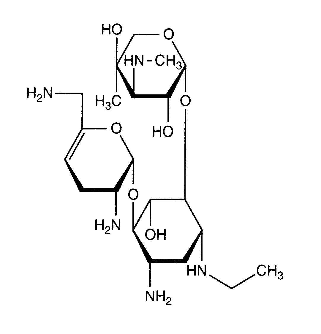
   Kemisk struktur  

Aerosol
Kompatibilitet   Aerosol   Kompatibilitet : Netilmicin sulfate               
Ingen data

  Mentions Légales