Posledná aktualizácia :
27/04/2026
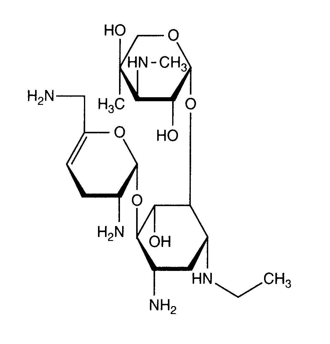
antibiotikum   Netilmicin sulfate   
Aerosól
Injekcia
Stabilita farmaceutických prípravkov Stabilita v zmesiach Faktory ovplyvňujúce stabilitu Kompatibility Odkazy na literatúru PDF
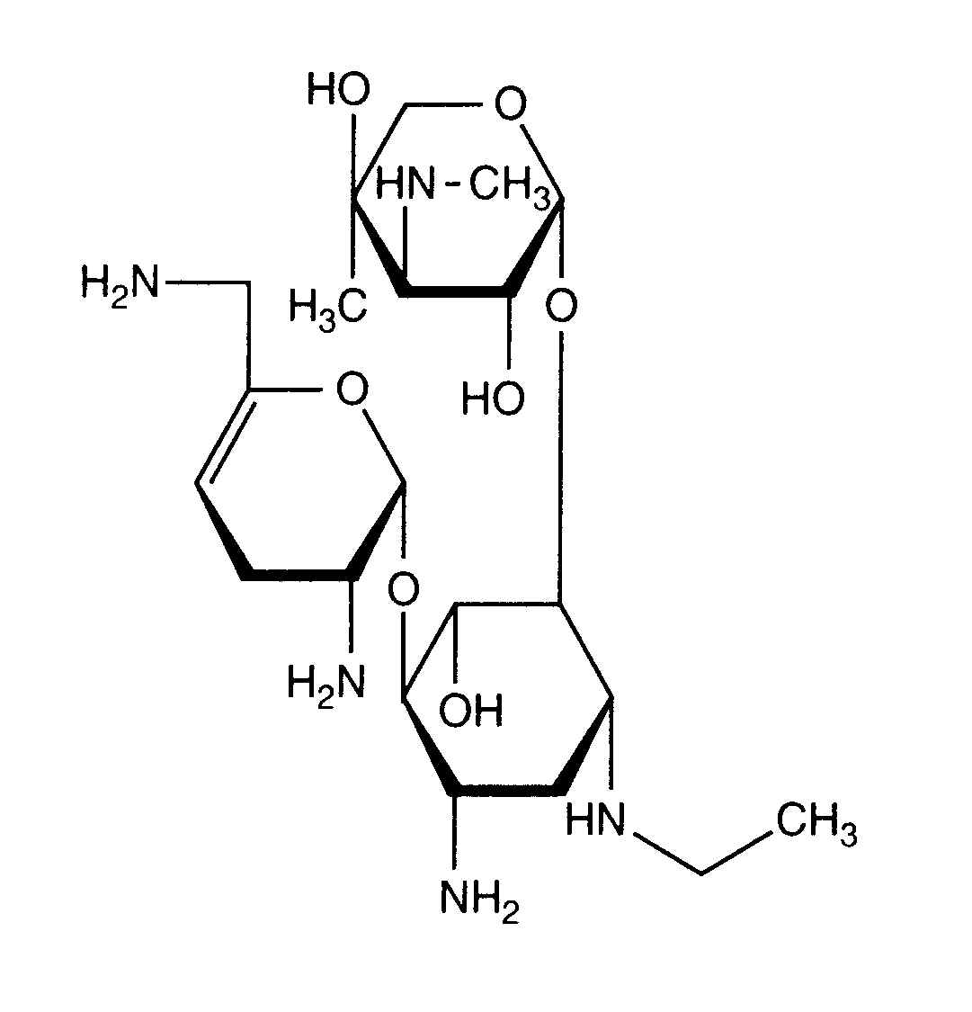
   Chemický vzorec  

Aerosól
Kompatibility   Aerosól   Kompatibility : Netilmicin sulfate               
žiadne údaje

  Mentions Légales