Poslední aktualizace :
27/04/2026
Antibiotikum   Netilmicin sulfate   
Aerosol
injekce
Stabilita farmaceutických přípravků Stabilita směsí Faktory ovlivňující stabilitu Kompatibilita Odkazy pdf
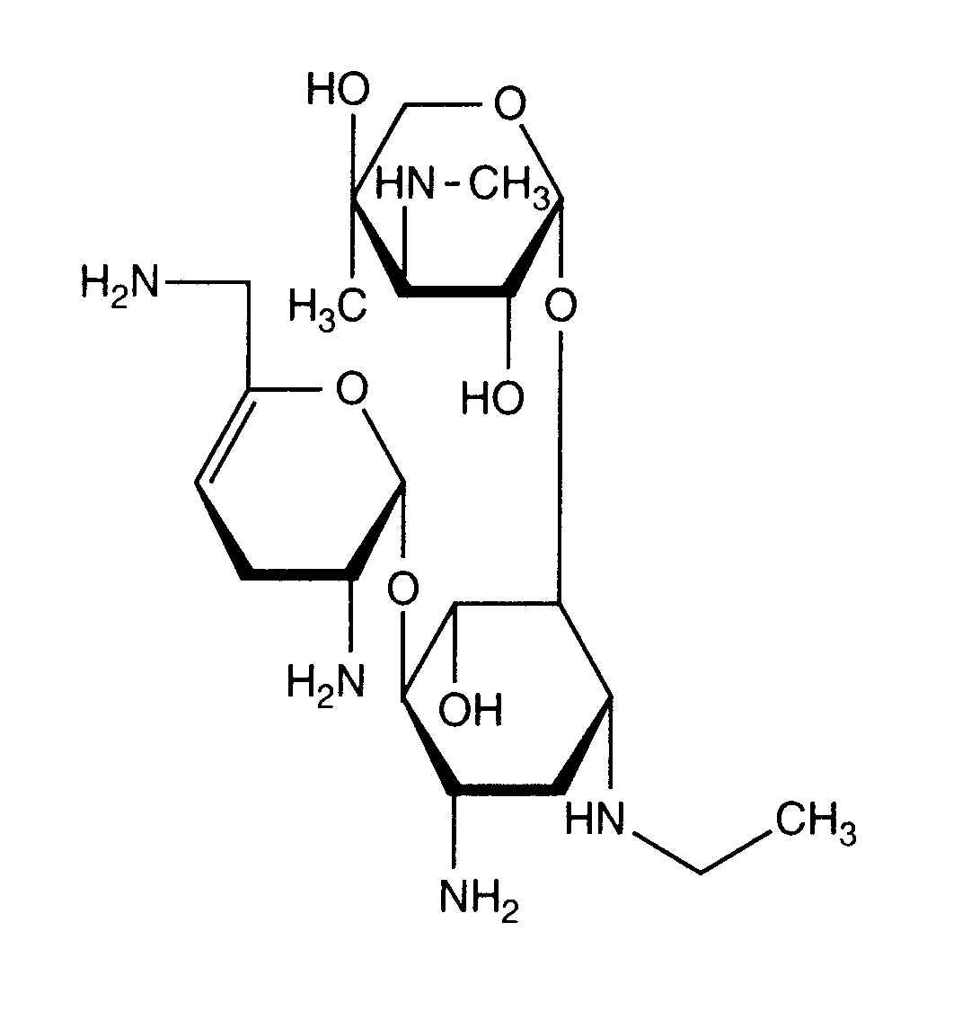
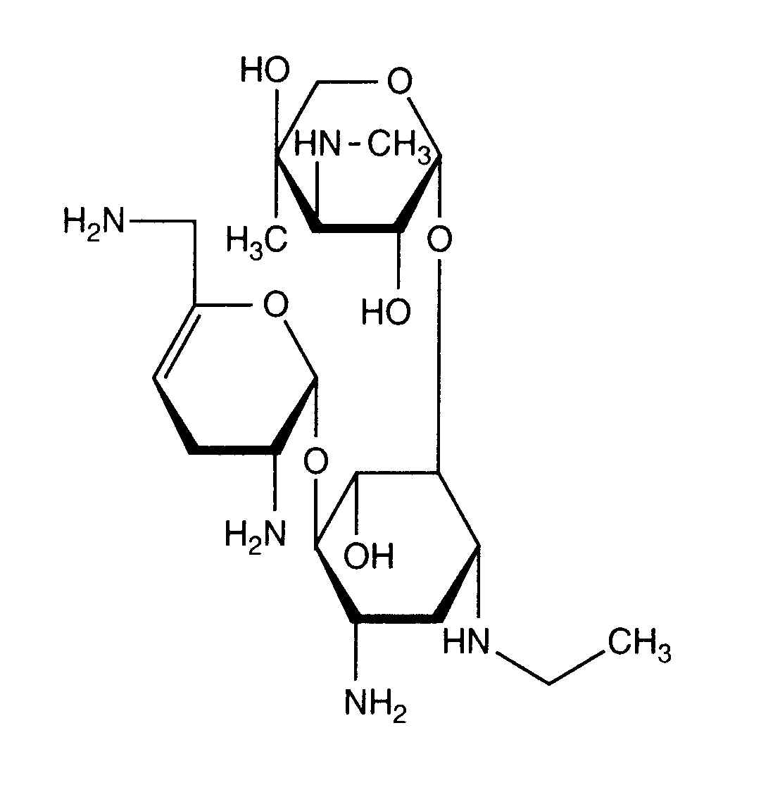
   Chemický vzorec  

Aerosol
Kompatibilita   Aerosol   Kompatibilita : Netilmicin sulfate               
žádná data

  Mentions Légales