Последнее обновление :
27/04/2026
Антибиотик   Netilmicin sulfate   
Аэрозоль
Инъекция
Стабильность фармацевтических препаратов Стабильность смесей Факторы, которые влияют на стабильность Совместимость Библиография pdf
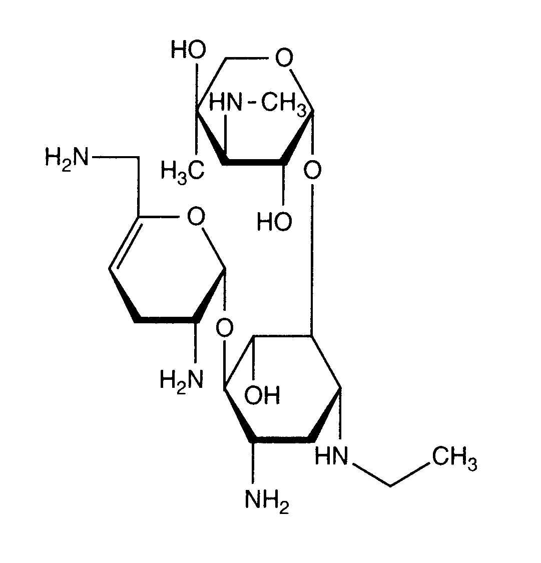
   Химическая структура  

Аэрозоль
Совместимость   Аэрозоль   Совместимость : Netilmicin sulfate               
данных нет

  Mentions Légales