Senaste uppdateringen :
27/04/2026
Antimykotikum   Amphotericin B   
Oral lösning
Aerosol injektion Munvatten ögondroppar
Stabilitet av läkemedel Stabilitet i blandningar Faktorer som påverkar stabiliteten Kompatibilitet Hänvisningar pdf
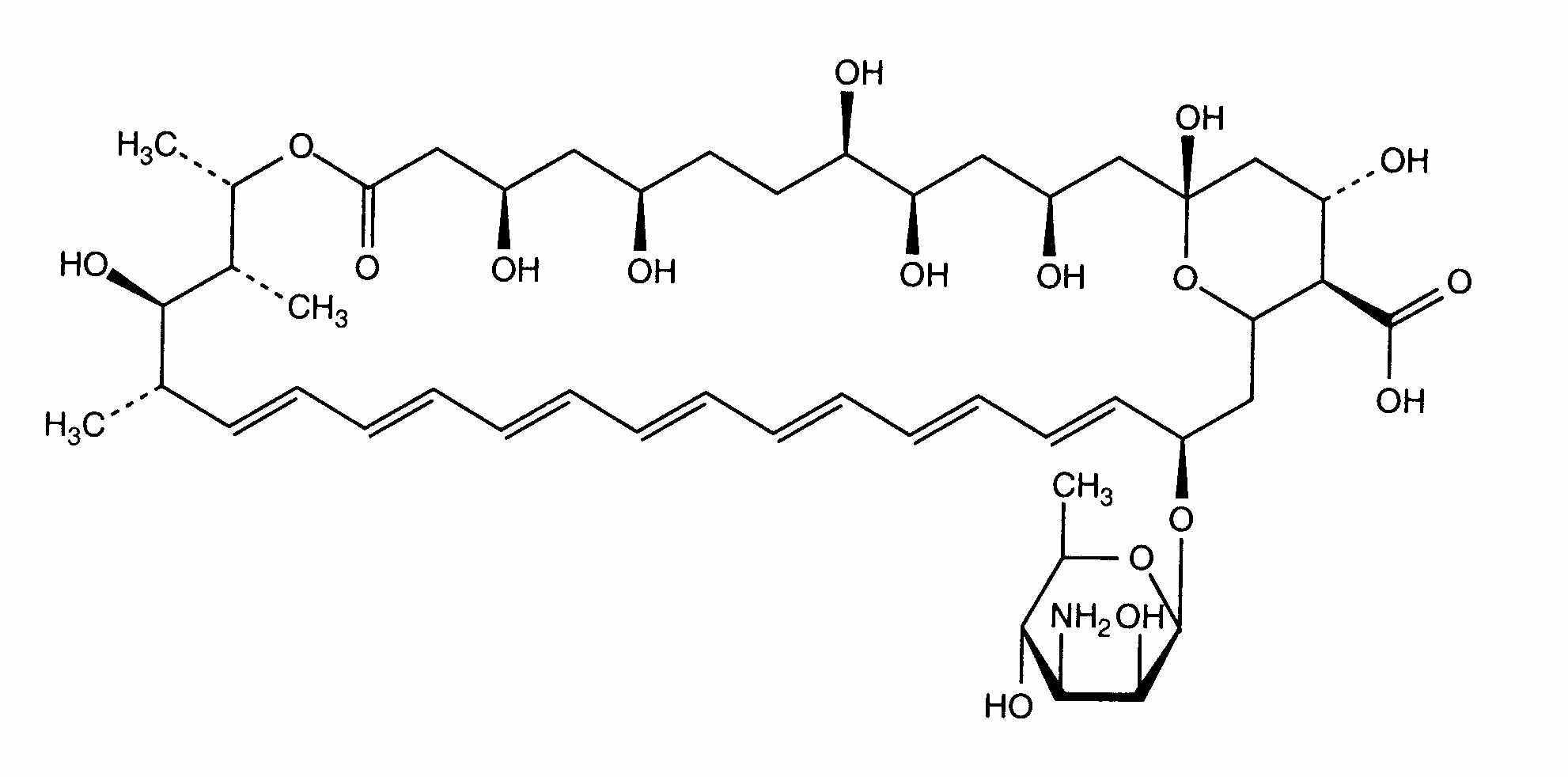
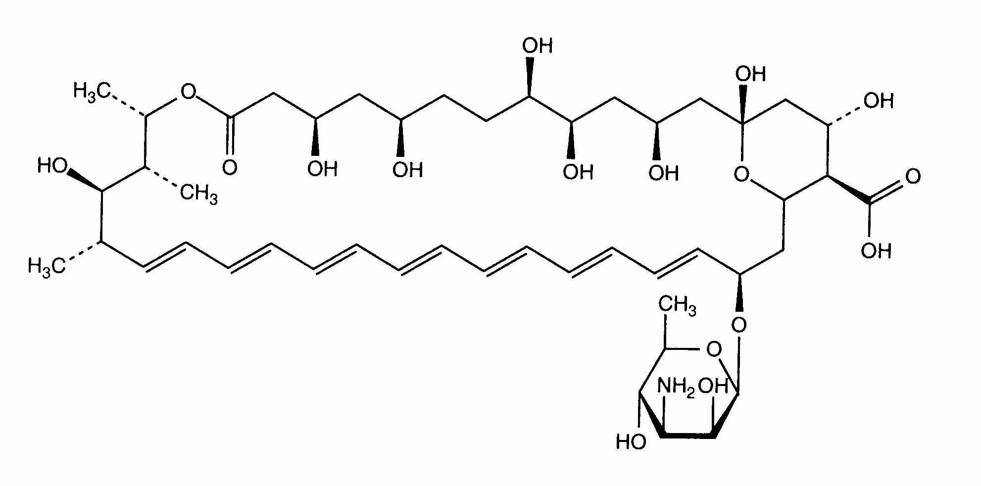
   Molekylstruktur  

Oral lösning
Kompatibilitet   Oral lösning   Kompatibilitet : Amphotericin B               
Ingen uppgift

  Mentions Légales