zadnja posodobitev :
27/04/2026
Antimikotik   Amphotericin B   
Peroralna raztopina
Aerosol Brizgalka Kapljice za oči Ustna voda
Stabilnost farmacevtskih preparatov Stabilnost mešanice Faktorji, ki vplivajo na stabilnost Kompatibilnost Viri pdf
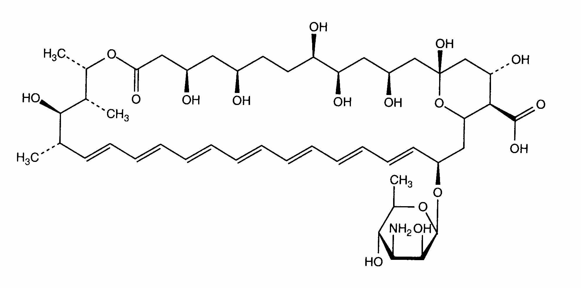
   Kemična formula  

Peroralna raztopina
Kompatibilnost   Peroralna raztopina   Kompatibilnost : Amphotericin B               
ni podatka

  Mentions Légales