Poslední aktualizace :
27/04/2026
Priešgrybelinis vaistas   Amphotericin B   
Geriamas tirpalas
Aerozolis Akių lašai Įpurškimas Skystis burnai skalauti
Stabilumas farmacinių preparatų Mišinių stabilumas Stabilumą lemiantys veiksniai Suderinamumas Bibliografija pdf
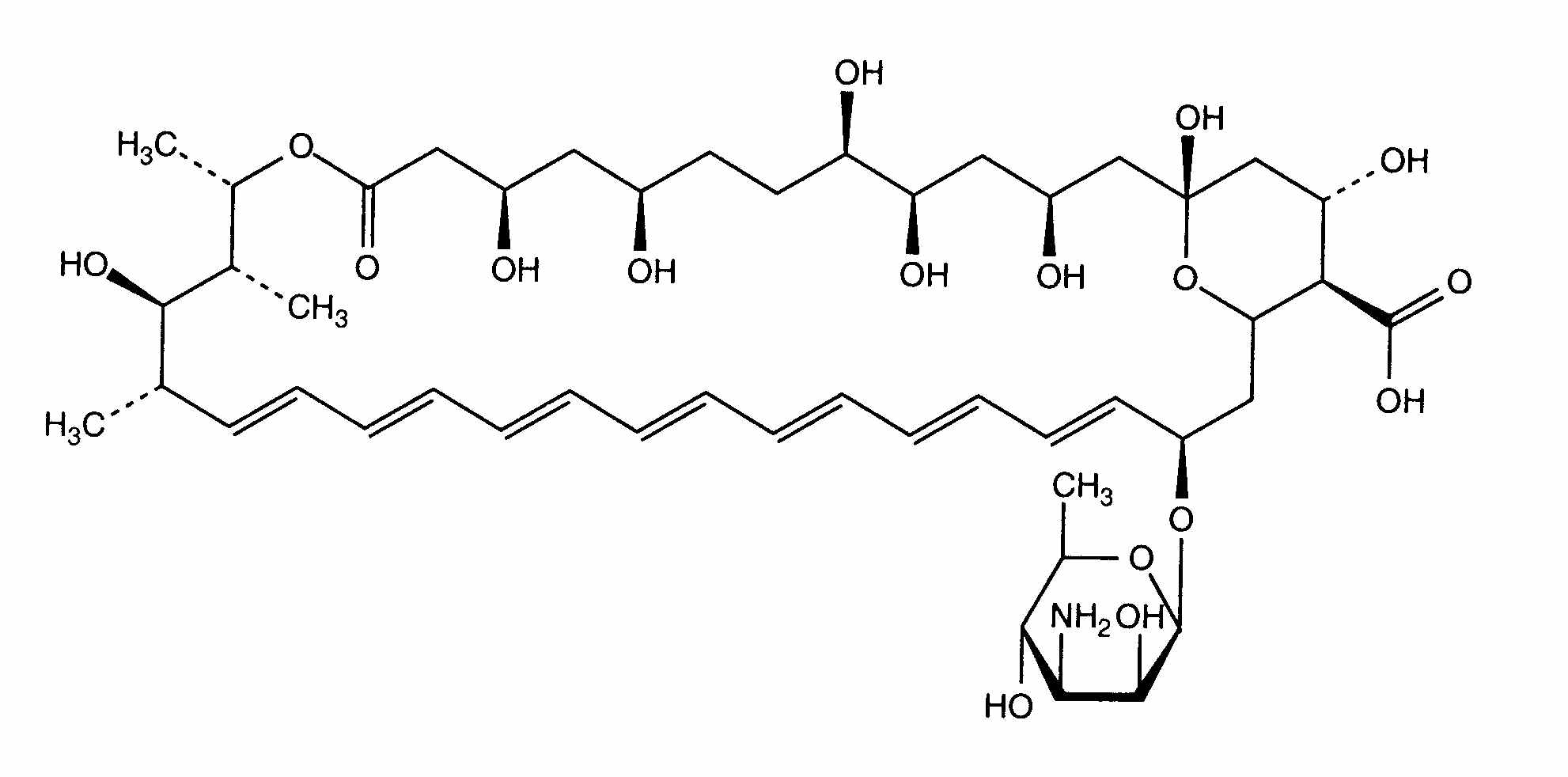
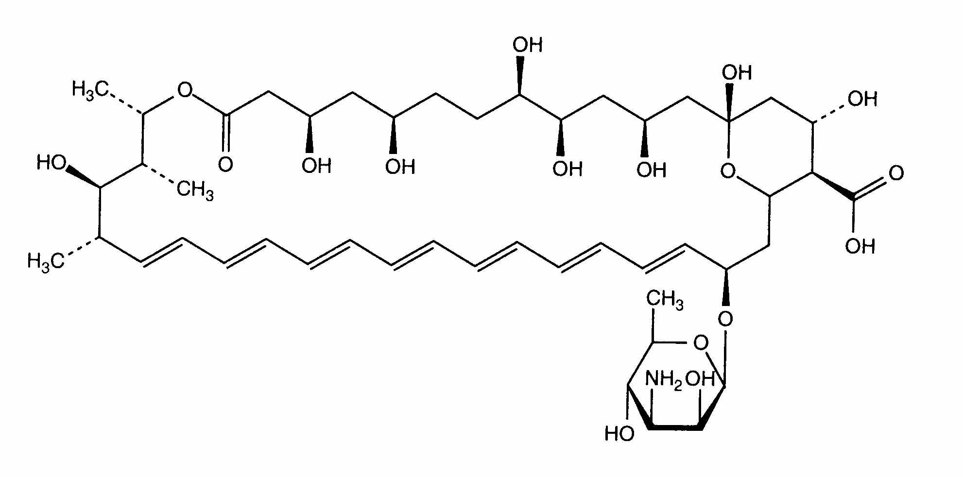
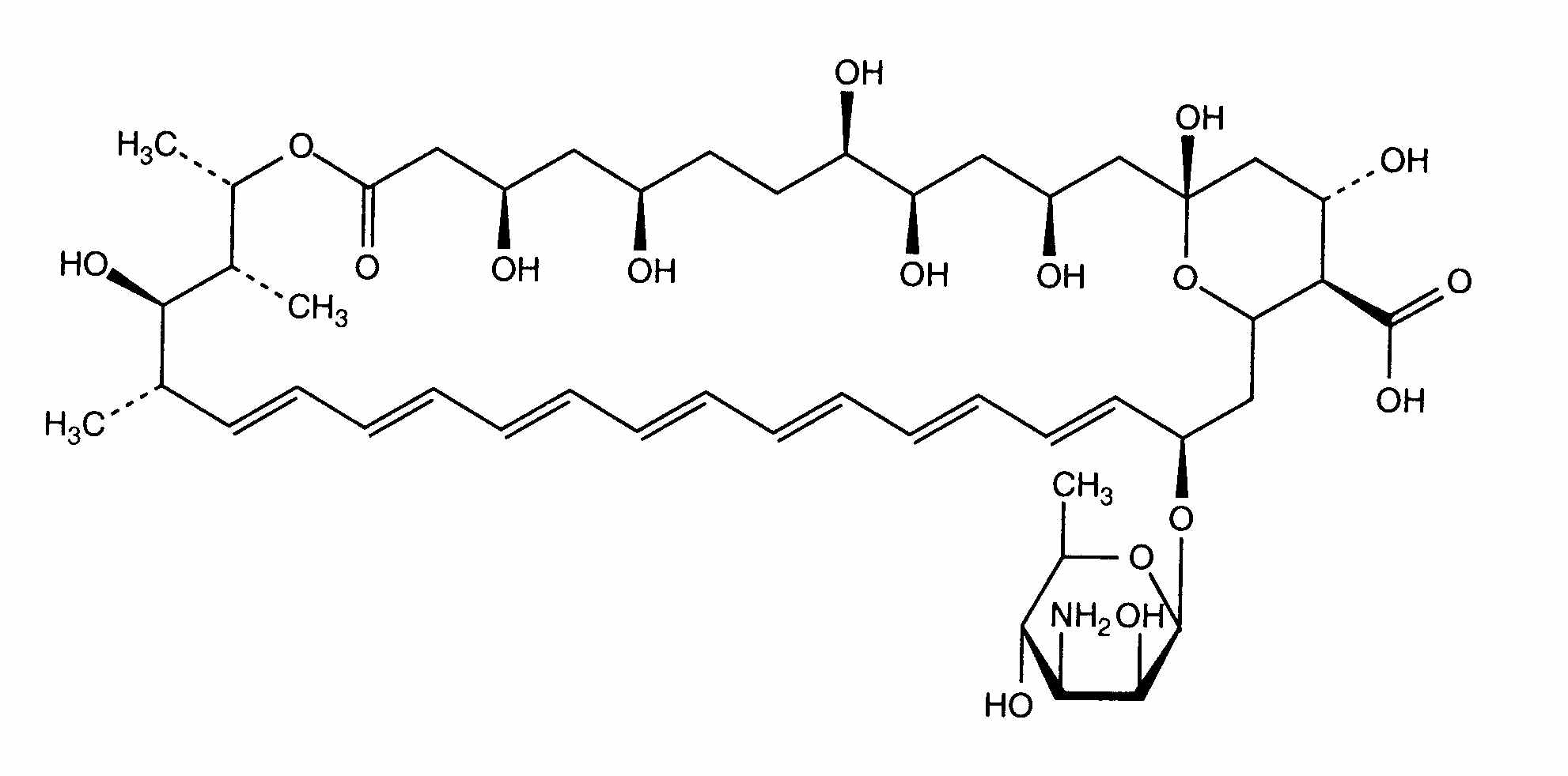
   Cheminė sandara  

Geriamas tirpalas
Suderinamumas   Geriamas tirpalas   Suderinamumas : Amphotericin B               
Nėra duomenų

  Mentions Légales