Última actualização :
27/04/2026
Antifúngico   Amphotericin B   
Solução Oral
aerossol colutório injetável solução oftálmica
Estabilidade de preparações farmacêuticas Estabilidade em misturas Factores que afectam a sua estabilidade Compatibilidade Bibliografía pdf
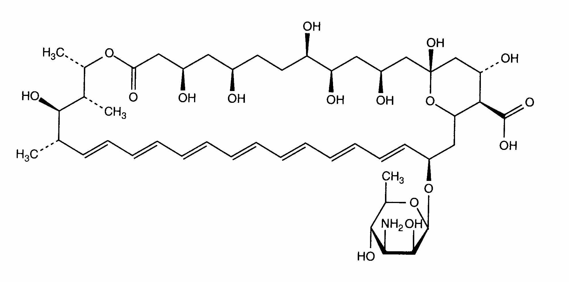
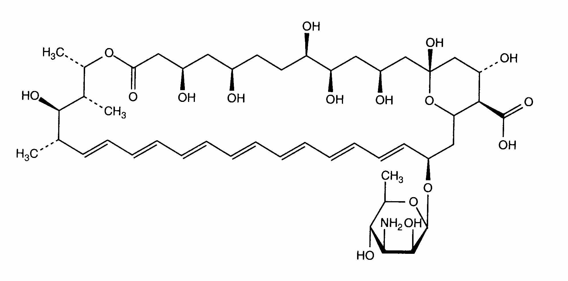
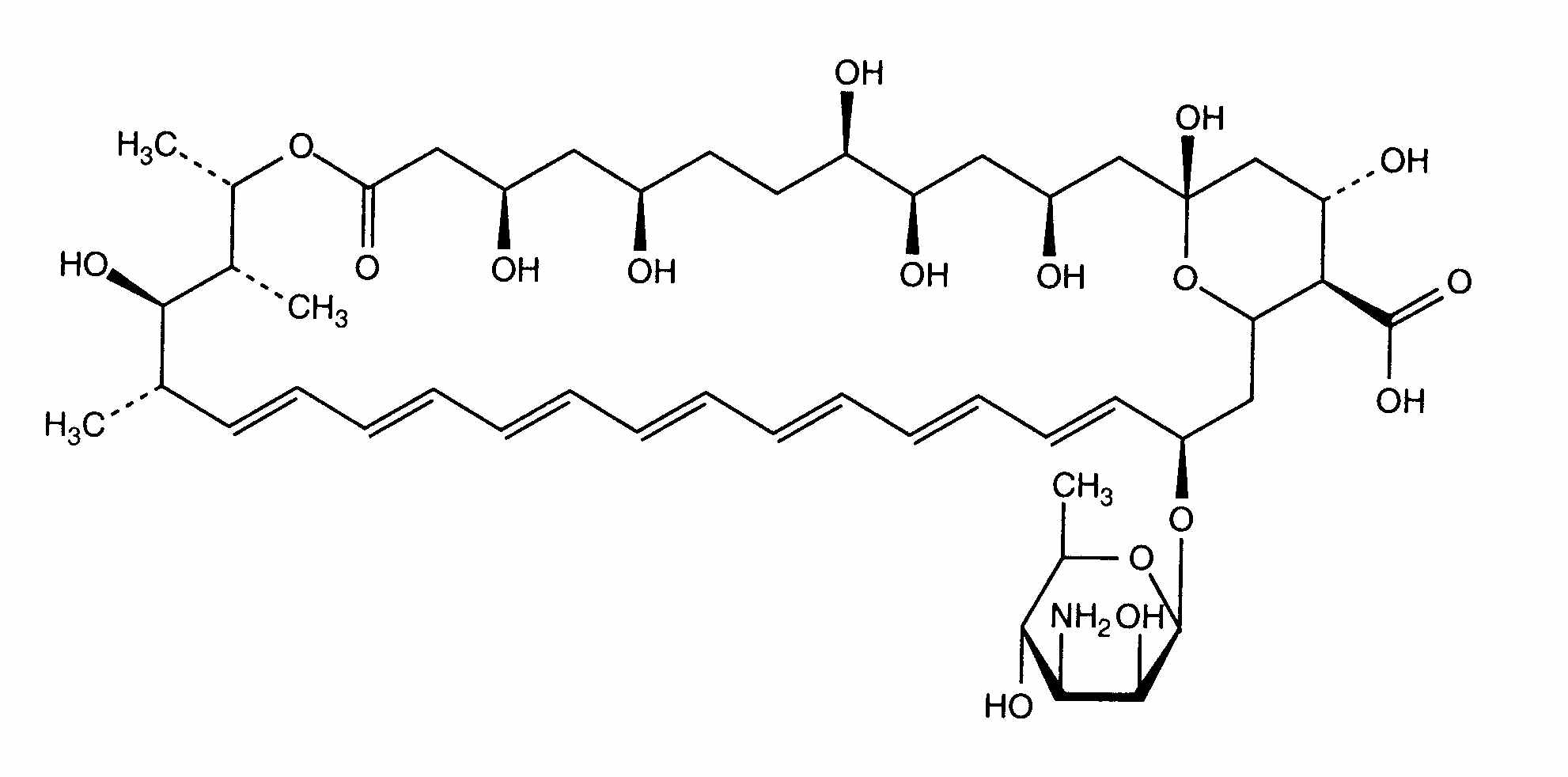
   estrutura química  

Solução Oral
Compatibilidade   Solução Oral   Compatibilidade : Amphotericin B               
Ausência de dados

  Mentions Légales