最新更新 :
27/04/2026
抗真菌药   Amphotericin B   
口服剂
气雾剂 注射液 漱口水 眼药水
制剂的稳定性 混合物稳定性 影响稳定性的因素 兼容性 引用文献 PDF
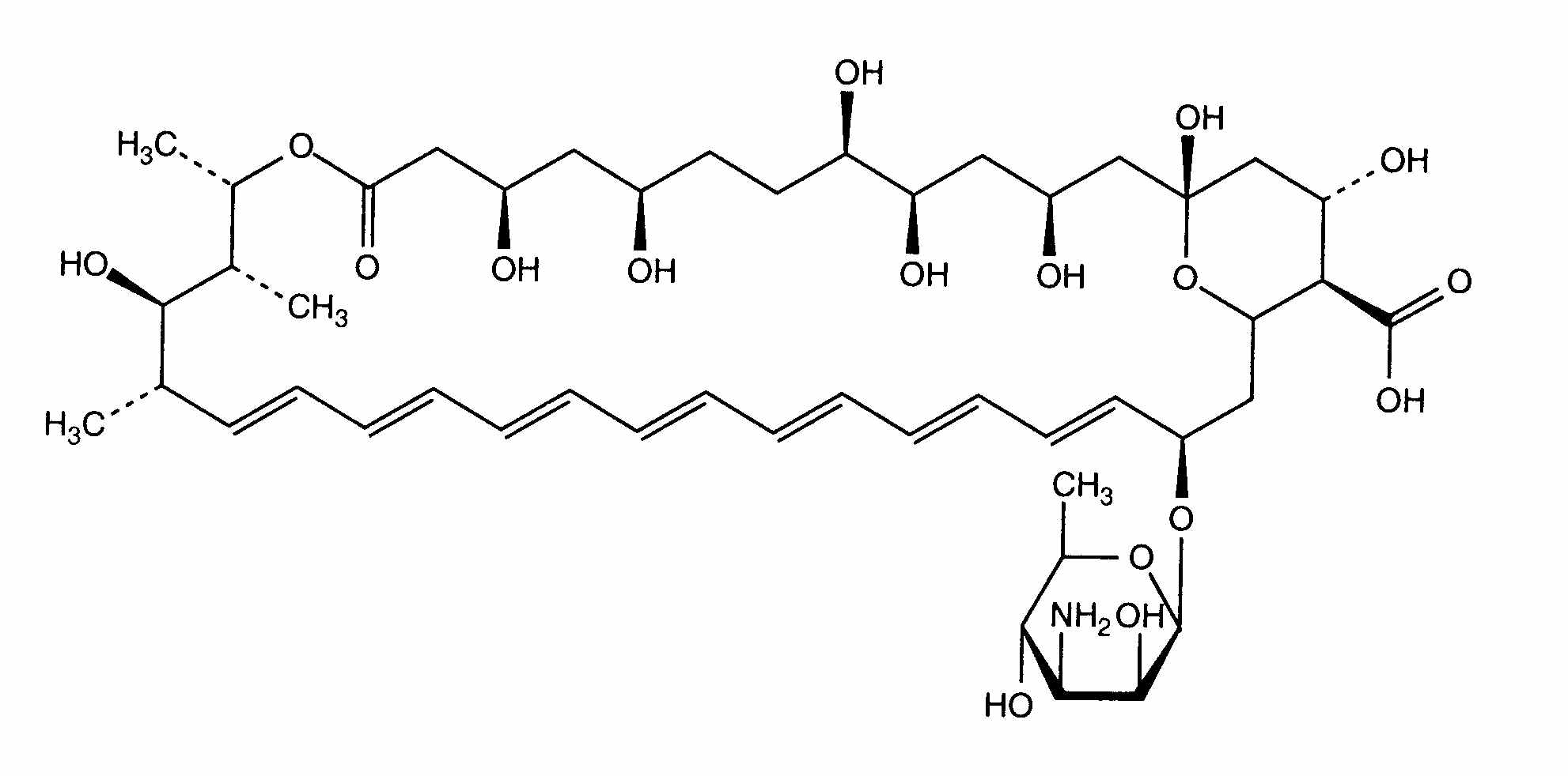
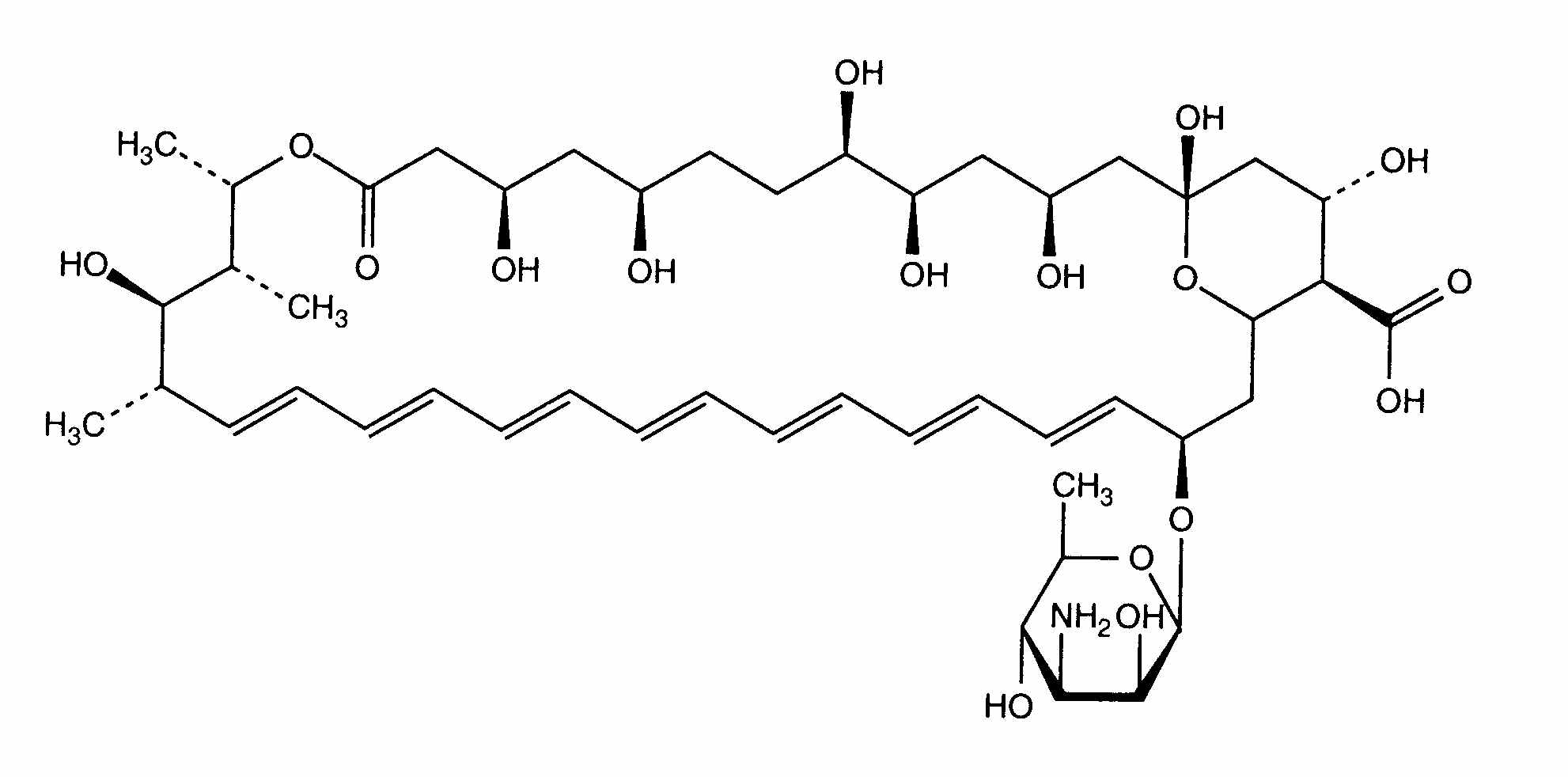
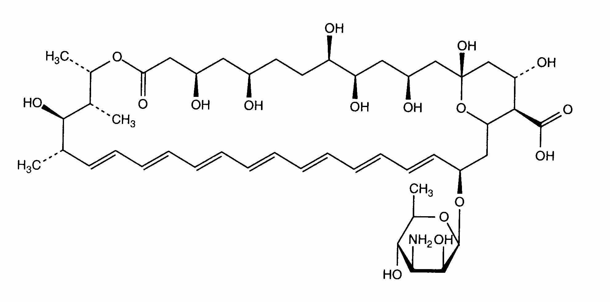
   化学式  

口服剂
兼容性   口服剂   兼容性 : Amphotericin B               
无数据

  Mentions Légales