Posledná aktualizácia :
27/04/2026
antimykotikum   Amphotericin B   
Perorálny roztok
Aerosól Injekcia Kloktadlo Očná instilácia
Stabilita farmaceutických prípravkov Stabilita v zmesiach Faktory ovplyvňujúce stabilitu Kompatibility Odkazy na literatúru PDF
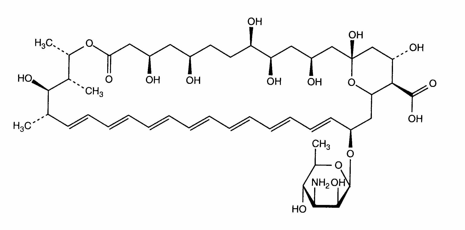
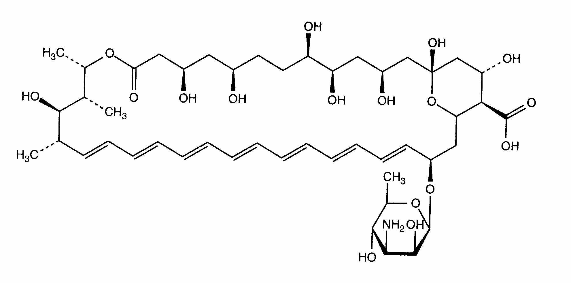
   Chemický vzorec  

Perorálny roztok
Kompatibility   Perorálny roztok   Kompatibility : Amphotericin B               
žiadne údaje

  Mentions Légales