Siste oppdatering :
27/04/2026
Fungicid   Amphotericin B   
Mikstur
Aerosol Injeksjon Munnvann Øyedråper
Stabilitet av farmasøytiske preparater Stabilitet i blandinger Faktorer som påvirker stabiliteten Kompatibilitet Referanser pdf
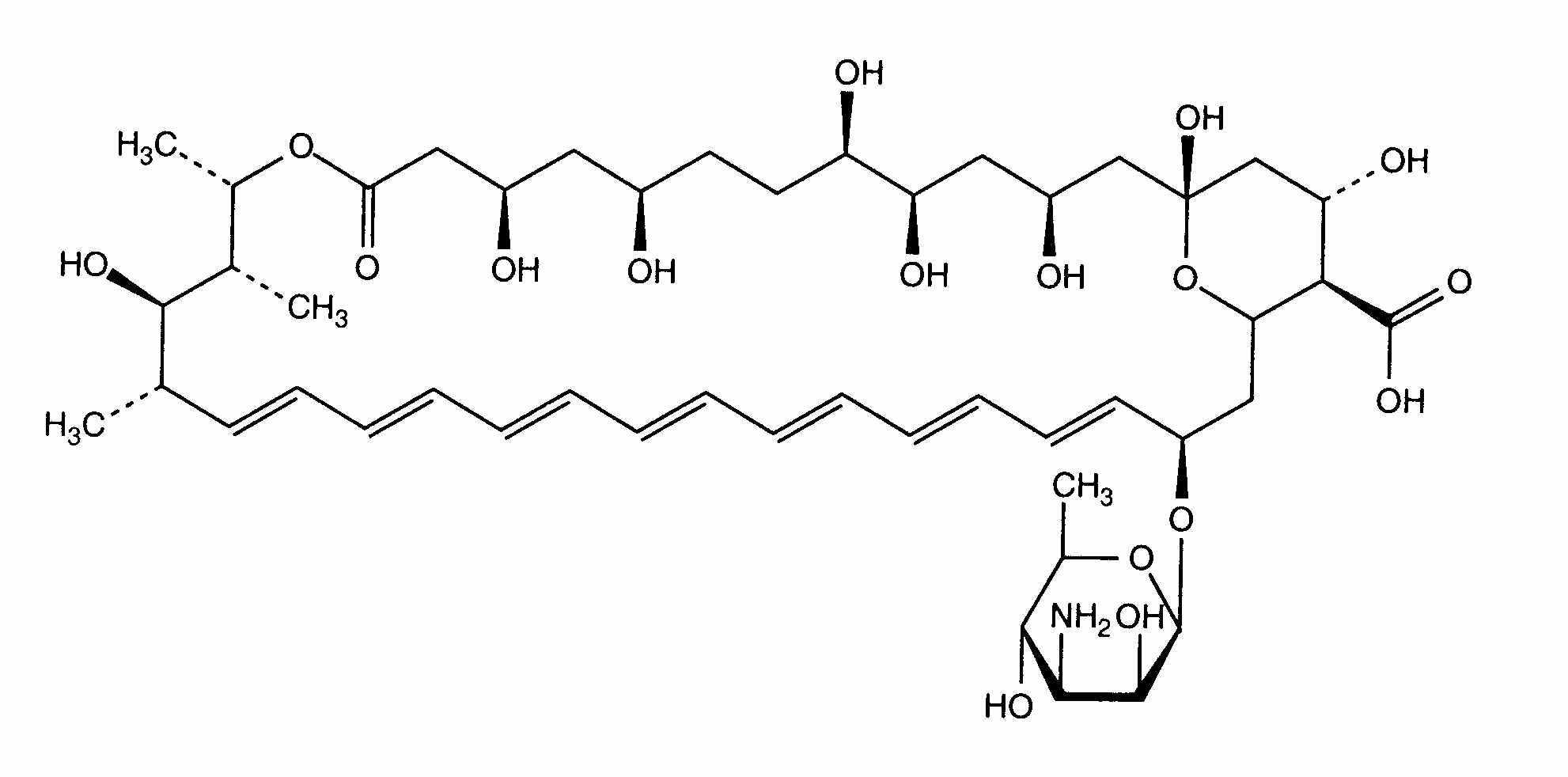
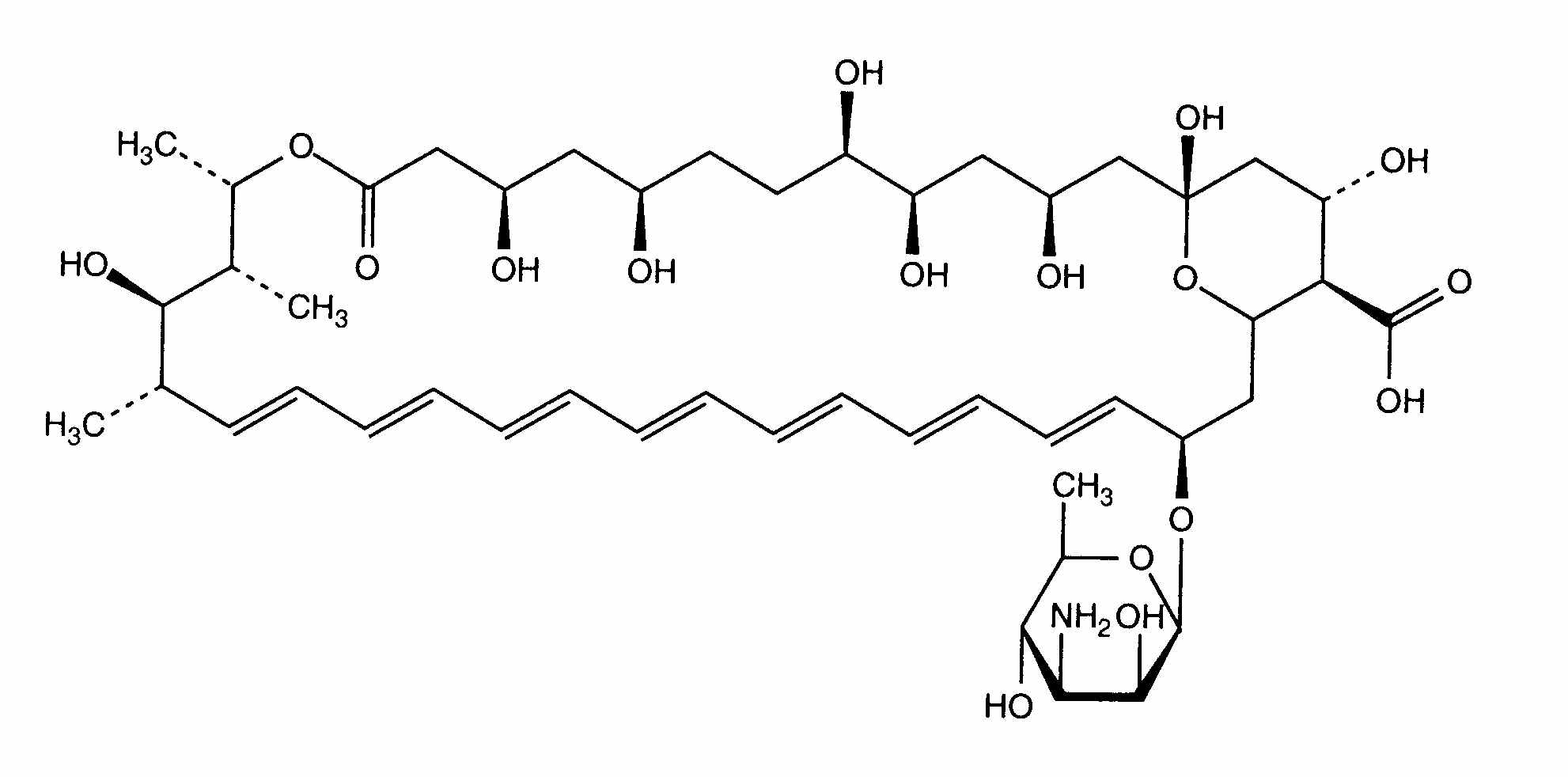
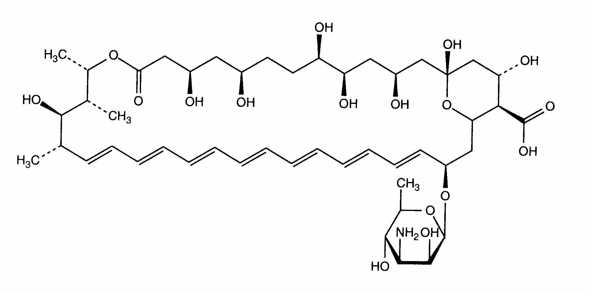
   Kjemisk struktur  

Mikstur
Kompatibilitet   Mikstur   Kompatibilitet : Amphotericin B               
Ingen opplysninger

  Mentions Légales