Zadnji put ažurirano :
27/04/2026
antifungicid   Amphotericin B   
oralna otopina
aerosol injekcija kapi za oko otopina za ispiranje usne šupljine
Stabilnost farmaceutskih pripravaka Stabilnost mješavine Stabilizacijski faktor Kompatibilnosti Bibliografija pdf
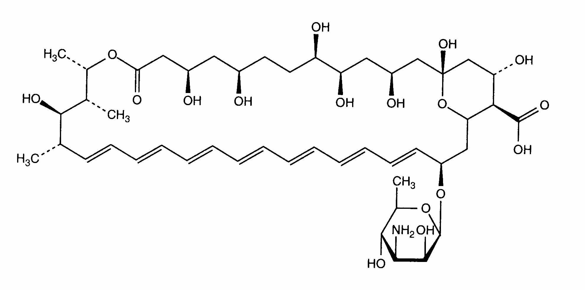
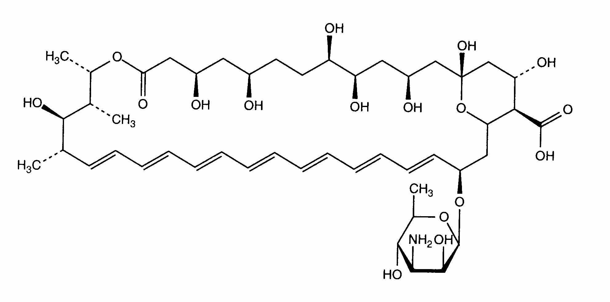
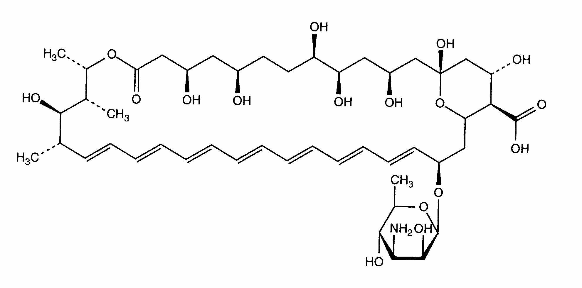
   Kemijska struktura  

oralna otopina
Kompatibilnosti   oralna otopina     Kompatibilnosti : Amphotericin B               
bez podataka

  Mentions Légales