Pēdējā atjaunošana :
27/04/2026
Pretsēnīšu līdzeklis   Amphotericin B   
Orāls šķīdums
Acu pilieni Aerosols Injekcija Mutes skalojamais līdzeklis
Stabilitāte farmaceitisko preparātu Maisījuma stabilitāte Stabilitāti ietekmējoši faktori Saderība Literatūras saraksts pdf
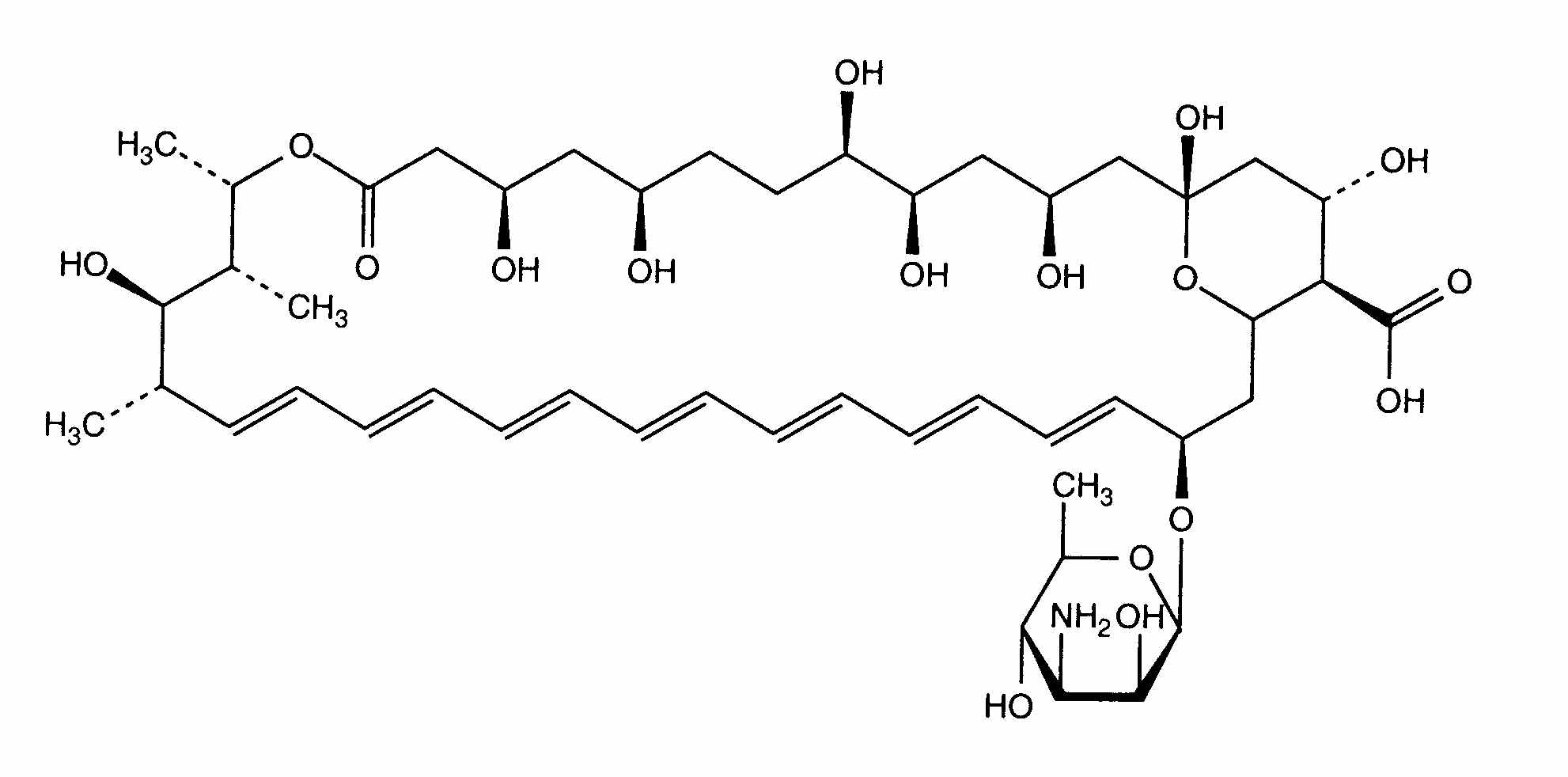
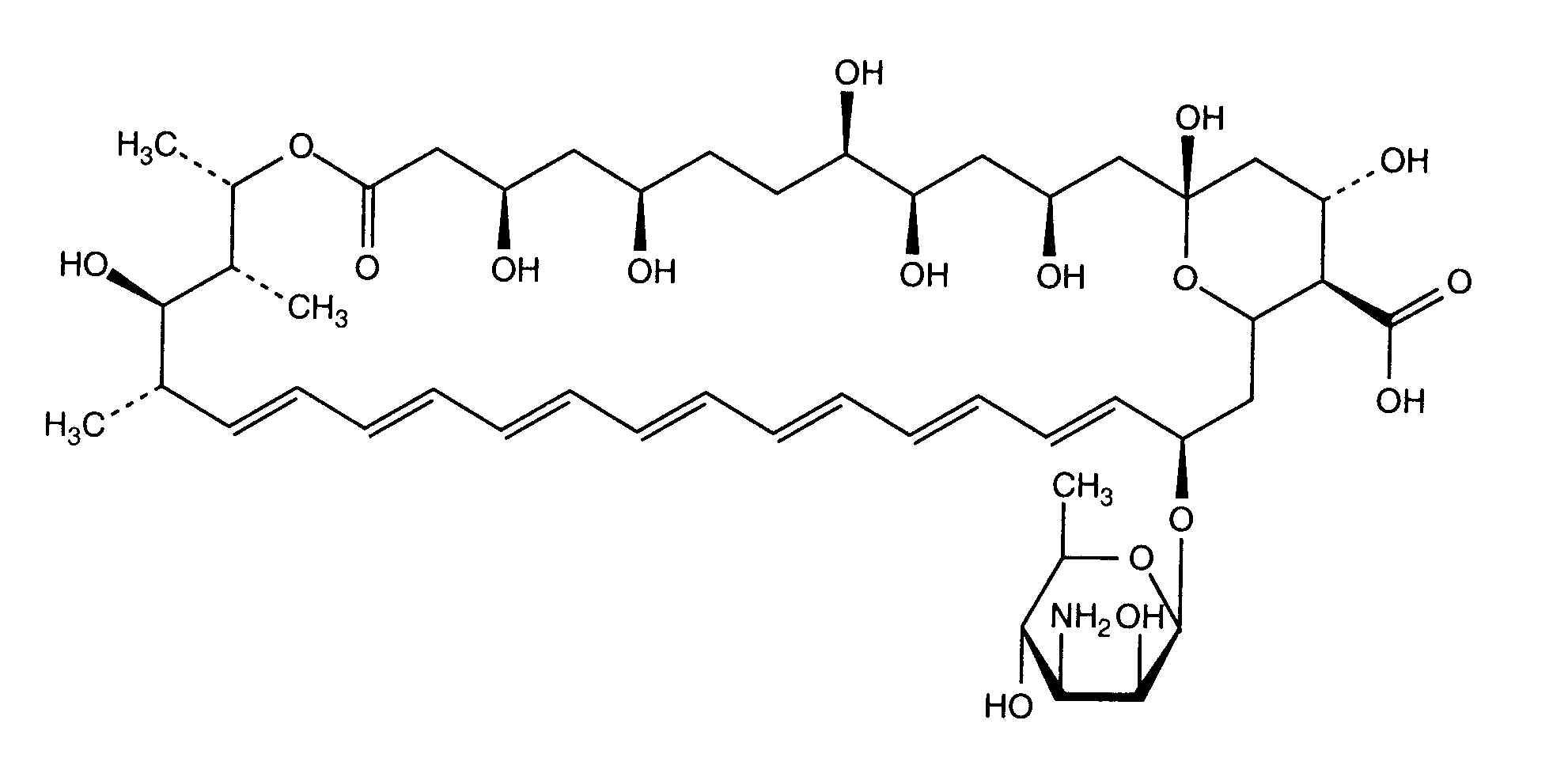
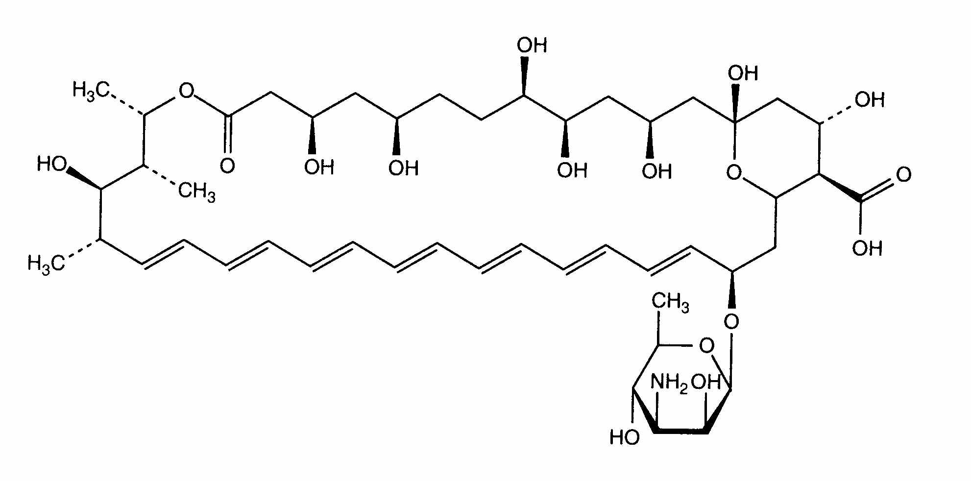
   Ķīmiskā uzbūve   

Orāls šķīdums
Saderība   Orāls šķīdums   Saderība : Amphotericin B               
Nav datu

  Mentions Légales