Poslední aktualizace :
27/04/2026
Protiplísňový přípravek   Amphotericin B   
Perorální roztok
Aerosol Humbuk injekce kloktadlo
Stabilita farmaceutických přípravků Stabilita směsí Faktory ovlivňující stabilitu Kompatibilita Odkazy pdf
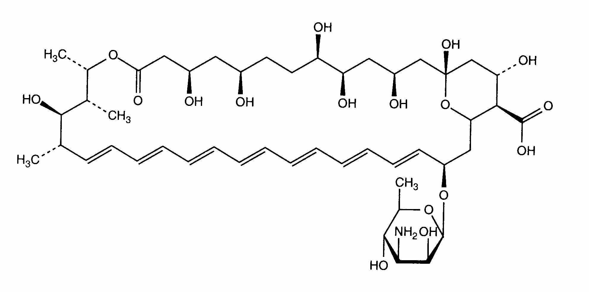
   Chemický vzorec  

Perorální roztok
Kompatibilita   Perorální roztok   Kompatibilita : Amphotericin B               
žádná data

  Mentions Légales