viimane versioon :
27/04/2026
Seenevastane ravim   Amphotericin B   
suukaudne lahus
aerosool Silmatilgad Süsteravim Suuloputus lahus
Stabiilsust ravimpreparaadid Stabiilsust mõjutavad tegurid stabiilsust mõjutavad faktorid Sobimatus Viited pdf
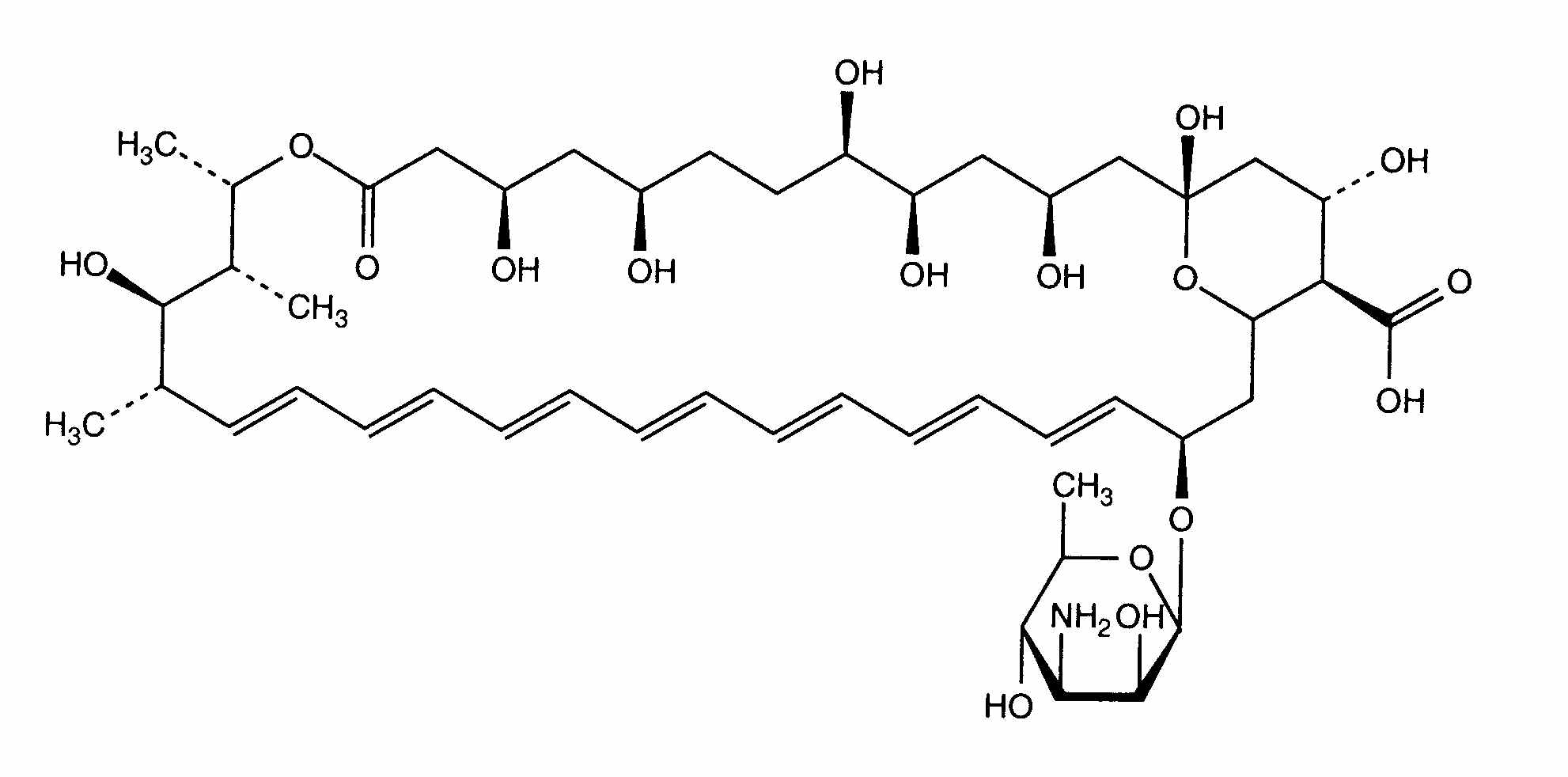
   keemiline struktuur  

suukaudne lahus
Sobimatus   suukaudne lahus   Sobimatus : Amphotericin B               
andmed puuduvad

  Mentions Légales