Viimeisin päivitys :
27/04/2026
Sienilääkkeet   Amphotericin B   
Oraaliliuos
Aerosoli Injektioneste Silmätipat Suuvesi
Vakaus lääkevalmisteen Stabilius seoksissa Tekijät, jotka vaikuttavat stabiliuteen Yhteensopivuus Viitteet pdf
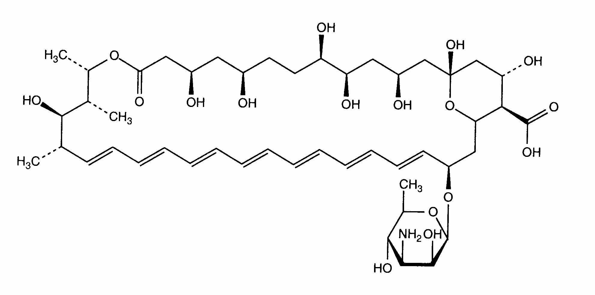
   Kemiallinen rakenne  

Oraaliliuos
Yhteensopivuus   Oraaliliuos   Yhteensopivuus : Amphotericin B               
ei tietoa

  Mentions Légales