Utolsó frissítés :
27/04/2026
Gombaellenes szer   Amphotericin B   
belsőleges oldat
aeroszol Injekció Szájvíz Szemcsepp
Stabilitása gyógyszerészeti készítmények A keverékek stabilitása Stabilitást befolyásoló tényezők Kompatibilitás Irodalom pdf
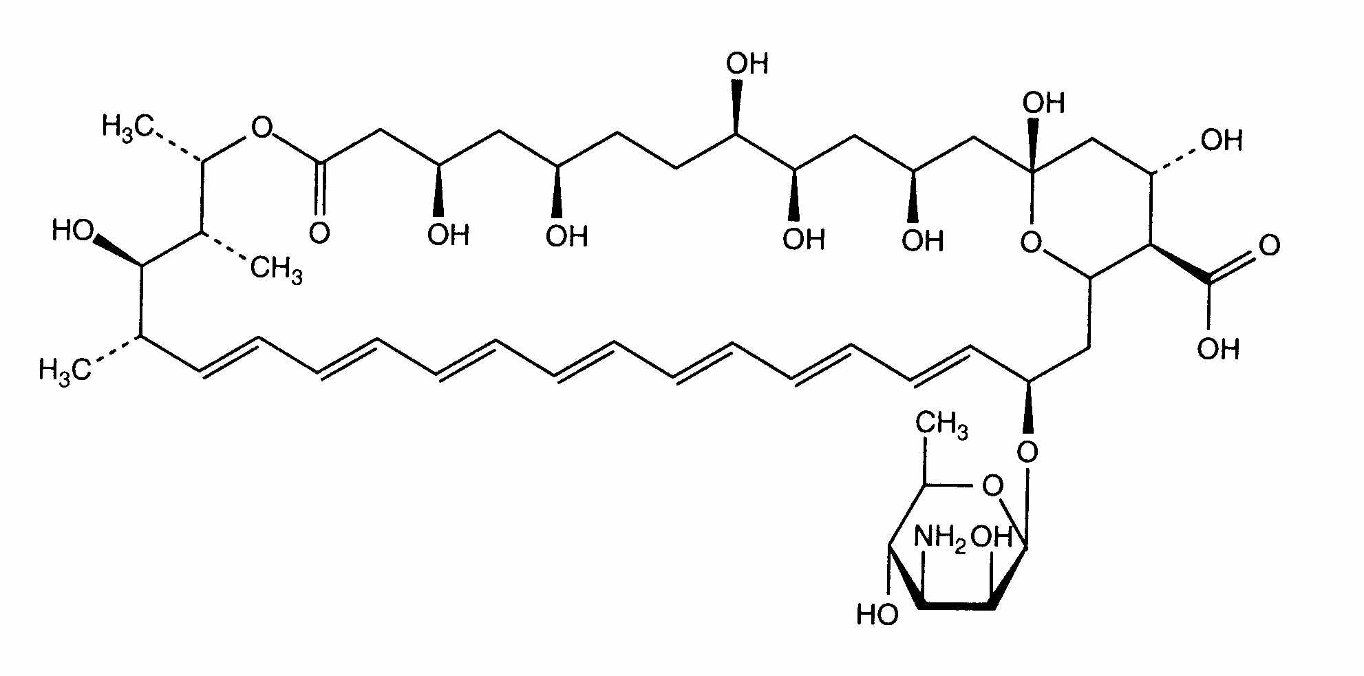
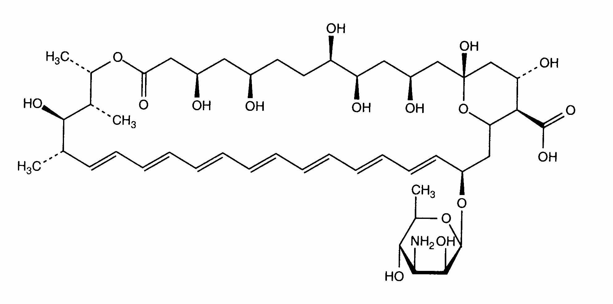
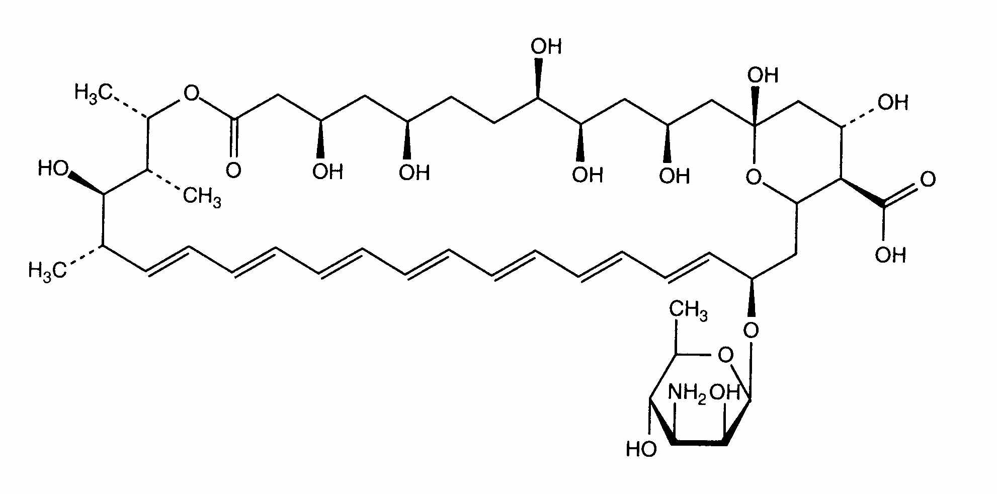
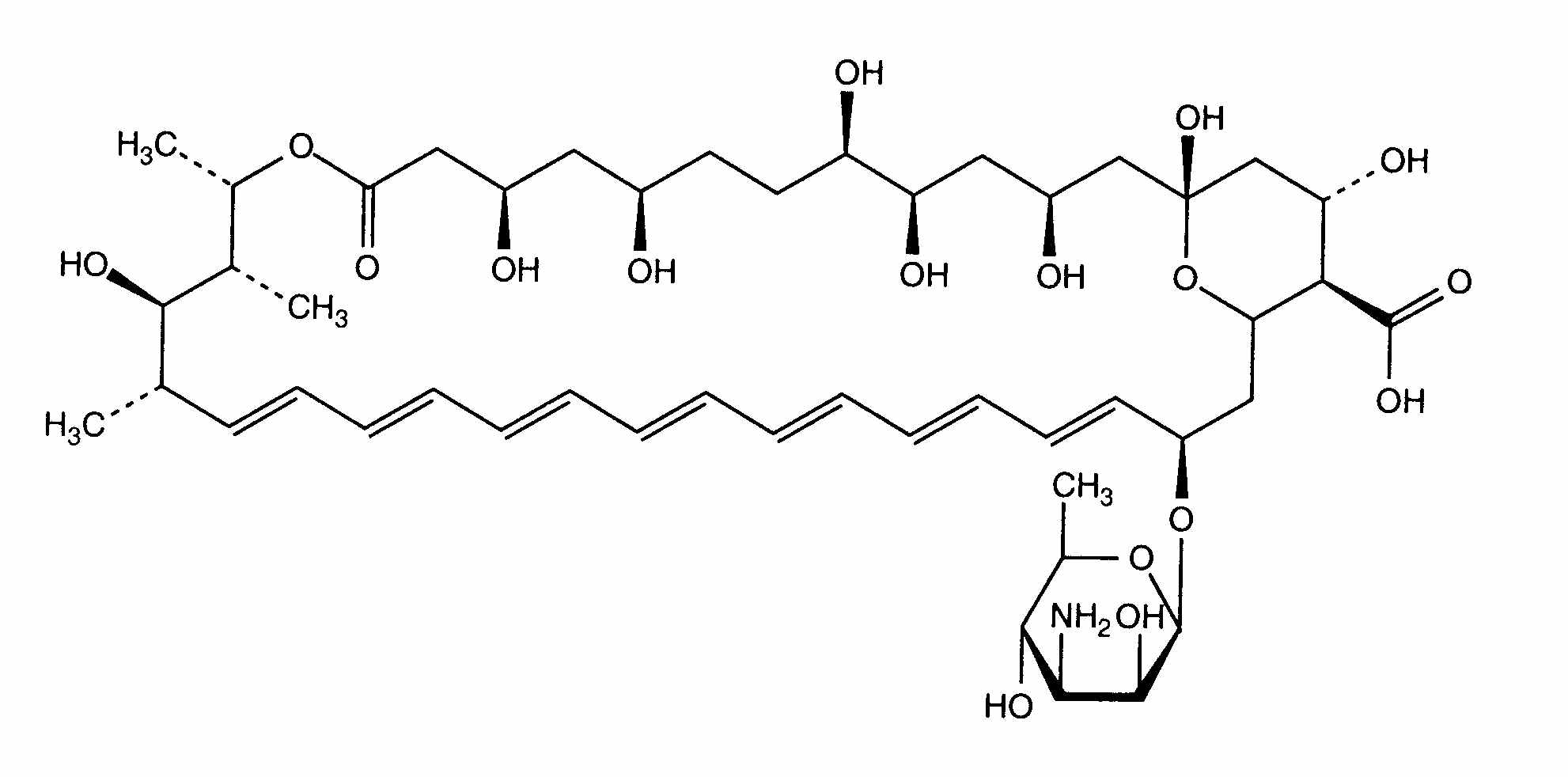
   Kémiai szerkezet   

belsőleges oldat
Kompatibilitás   belsőleges oldat   Kompatibilitás : Amphotericin B               
Hiányzó adat

  Mentions Légales