Laatste update :
18/03/2026
Antibioticum   Tobramycin sulfate   
Oogwater
Aerosol injecteerbaar geneesmiddel Orale Oplossing
Stabiliteit van farmaceutische preparaten Stabiliteit in mengsels Factoren die de stabiliteit beïnvloeden Verenigbaarheden Literatuur pdf
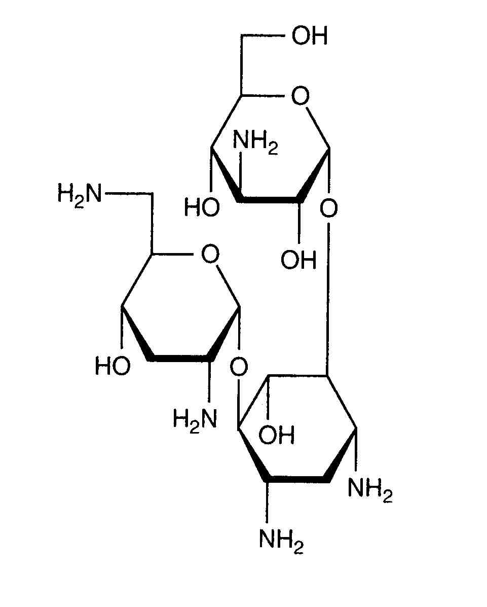
   Molecuulstructuur  

Oogwater
Stabiliteit in mengsels   Oogwater   Stabiliteit in mengsels : Tobramycin sulfate      
geen gegevens

  Mentions Légales