Последно актуализиране :
27/01/2026
Антибиотик   Tobramycin sulfate   
Капки за очи
Аерозол Инжекция/Инжекционен Орален разтвор
Стабилност на лекарствени препарати Стабилност на смеси Фактори, повлияващи стабилността Съвместимост Библиография Pdf
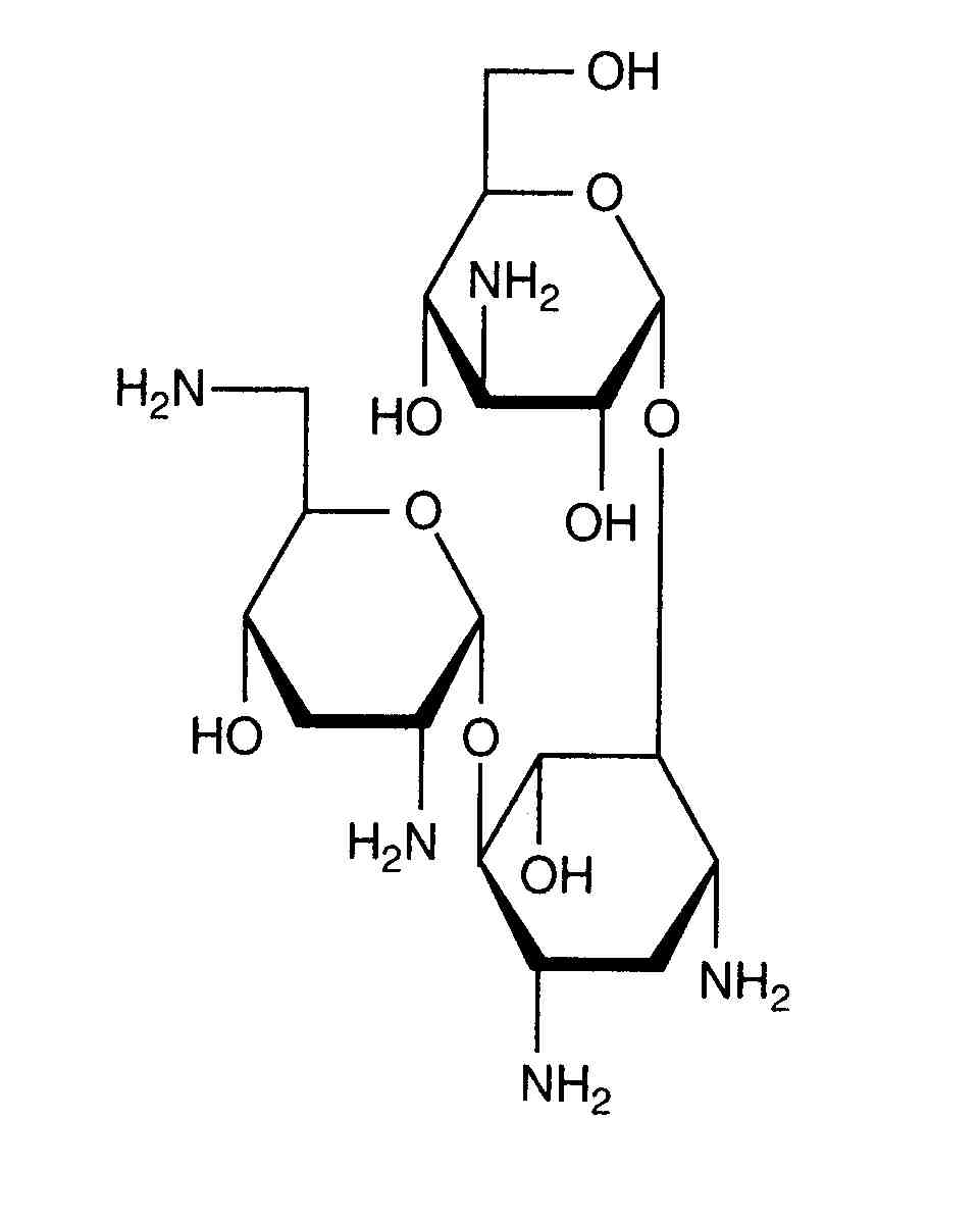
   Химична структура  

Капки за очи
Стабилност на смеси   Капки за очи   Стабилност на смеси : Tobramycin sulfate      
Няма данни

  Mentions Légales