Last update :
27/01/2026
Antibiotic   Tobramycin sulfate   
Eye-drops
aerosol injection Oral solution
Stability of pharmaceutical preparations Stability of mixtures Factors which affect stability Compatibility References pdf
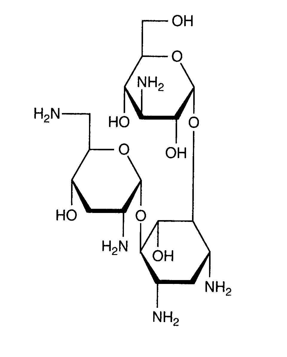
   Chemical structure  

Eye-drops
Stability of mixtures   Eye-drops   Stability of mixtures : Tobramycin sulfate      
No data

  Mentions Légales