Ultimele actualizari :
27/01/2026
Antibiotic   Tobramycin sulfate   
colir
Aerosol Injectabil Soluţie orală
Stabilitatea preparatelor farmaceutice Stabilitatea in amestec Factorii care influenteaza stabilitatea Compatibilitate Bibliografie pdf
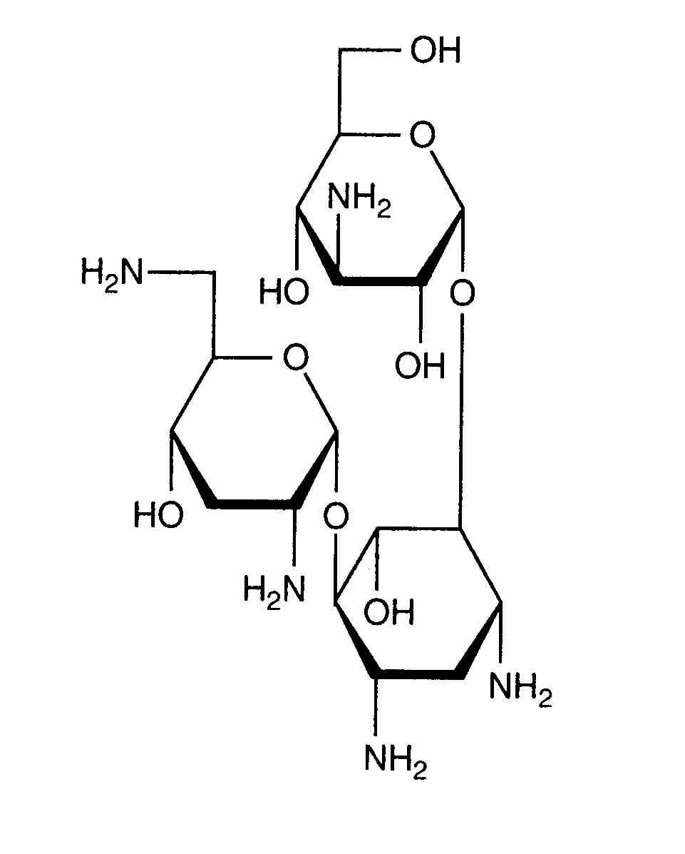
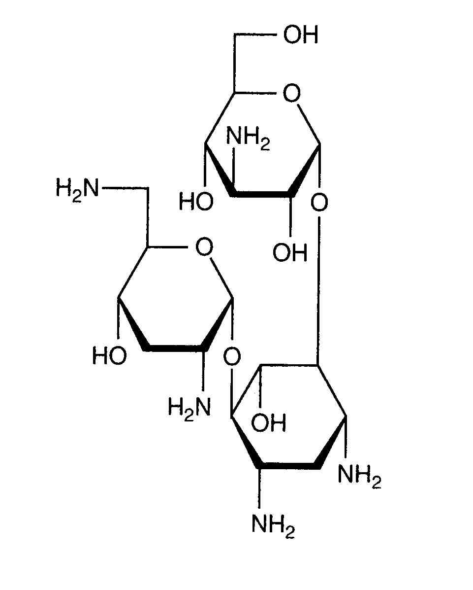
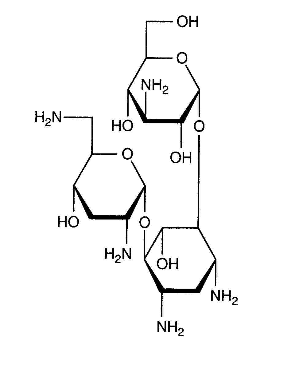
   Formula chimica  

colir
Stabilitatea in amestec   colir   Stabilitatea in amestec : Tobramycin sulfate      
Absenta de date

  Mentions Légales