Senaste uppdateringen :
27/01/2026
Antibiotikum   Tobramycin sulfate   
ögondroppar
Aerosol injektion Oral lösning
Stabilitet av läkemedel Stabilitet i blandningar Faktorer som påverkar stabiliteten Kompatibilitet Hänvisningar pdf
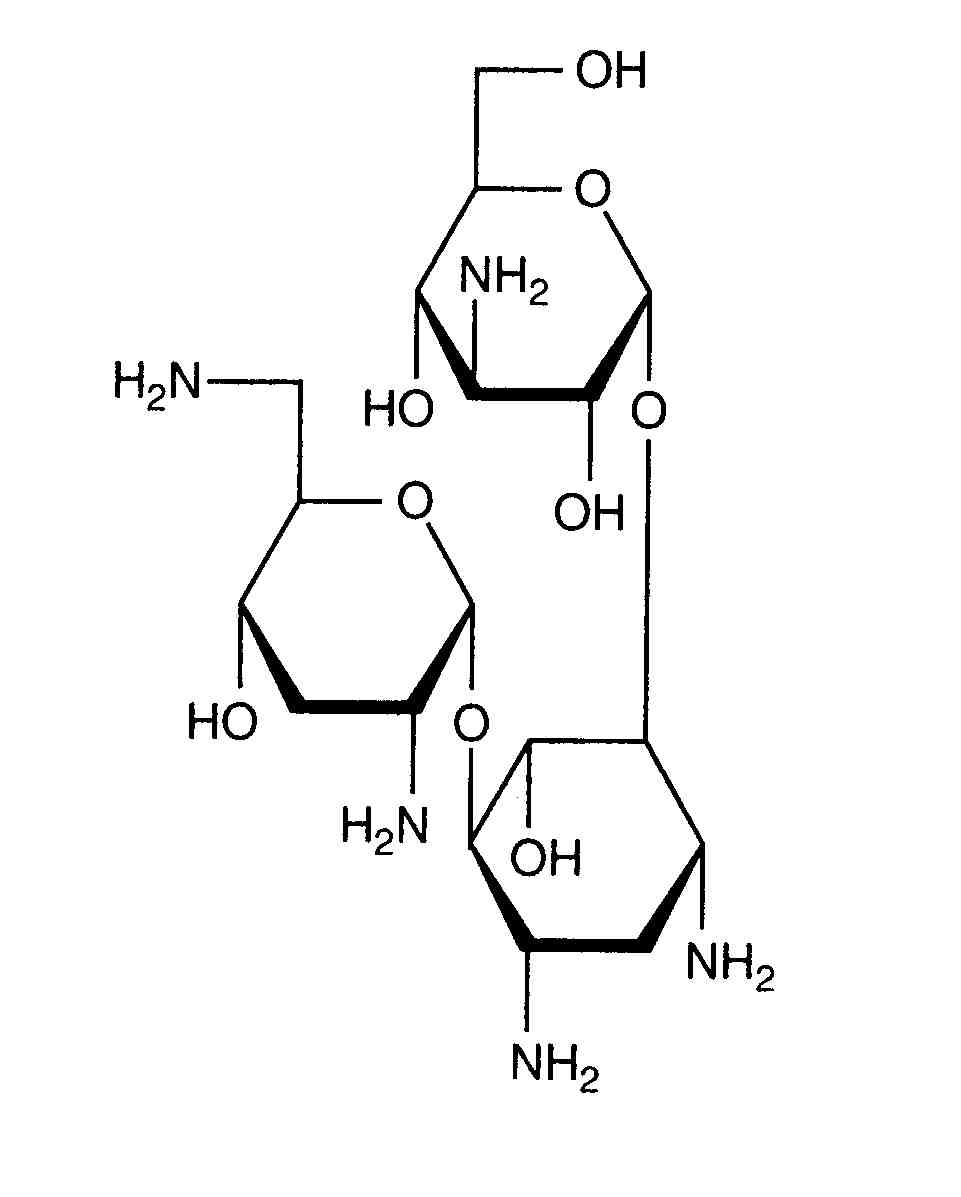
   Molekylstruktur  

ögondroppar
Stabilitet i blandningar   ögondroppar   Stabilitet i blandningar : Tobramycin sulfate      
Ingen uppgift

  Mentions Légales