Cập nhật lần cuối :
27/01/2026
Kháng sinh   Tobramycin sulfate   
Thuốc nhỏ mắt
Dạng tiêm Dung dịch uống Khí dung
Tính ổn định của các chế phẩm Độ ổn định khi trộn lẫn Những yếu tố ảnh hưởng đến độ ổn định Khả năng tương thích Tài liệu tham khảo Pdf
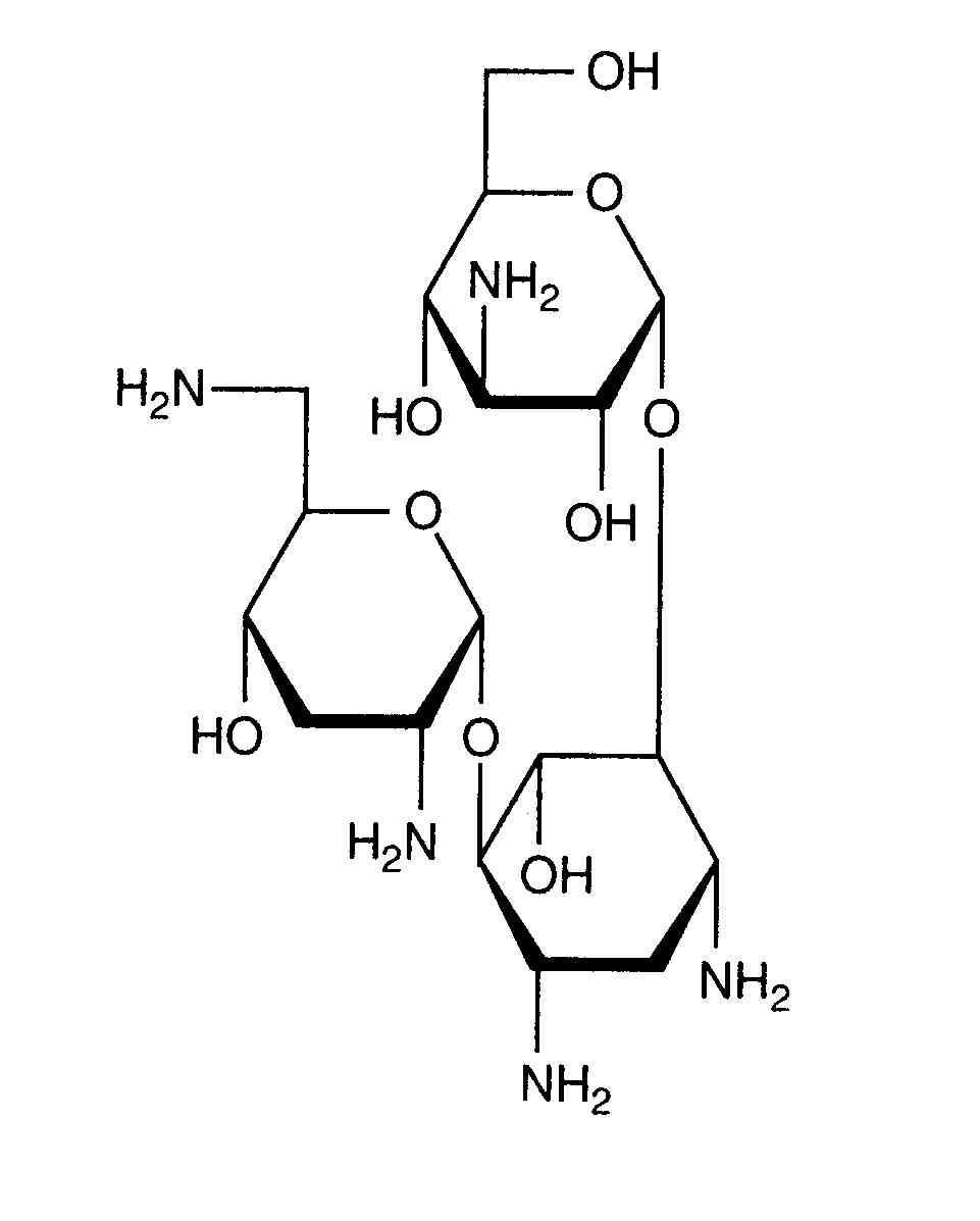
   Cấu trúc hóa học  

Thuốc nhỏ mắt
Độ ổn định khi trộn lẫn   Thuốc nhỏ mắt   Độ ổn định khi trộn lẫn : Tobramycin sulfate      
Không có dữ liệu

  Mentions Légales