Posledná aktualizácia :
27/01/2026
antibiotikum   Tobramycin sulfate   
Očná instilácia
Aerosól Injekcia Perorálny roztok
Stabilita farmaceutických prípravkov Stabilita v zmesiach Faktory ovplyvňujúce stabilitu Kompatibility Odkazy na literatúru PDF
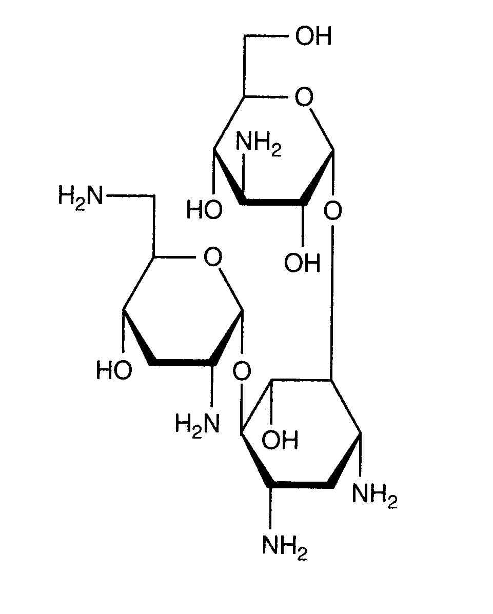
   Chemický vzorec  

Očná instilácia
Kompatibility   Očná instilácia   Kompatibility : Tobramycin sulfate               
žiadne údaje

  Mentions Légales