Zadnji put ažurirano :
27/01/2026
antibiotik   Tobramycin sulfate   
kapi za oko
aerosol injekcija oralna otopina
Stabilnost farmaceutskih pripravaka Stabilnost mješavine Stabilizacijski faktor Kompatibilnosti Bibliografija pdf
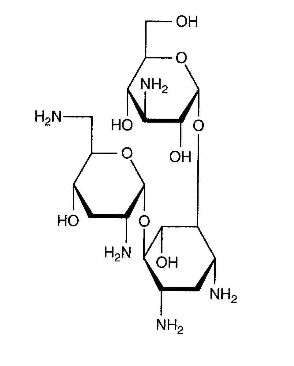
   Kemijska struktura  

kapi za oko
Stabilnost mješavine   kapi za oko   Stabilnost mješavine : Tobramycin sulfate      
bez podataka

  Mentions Légales