Poslední aktualizace :
27/01/2026
Antibiotikum   Tobramycin sulfate   
Humbuk
Aerosol injekce Perorální roztok
Stabilita farmaceutických přípravků Stabilita směsí Faktory ovlivňující stabilitu Kompatibilita Odkazy pdf
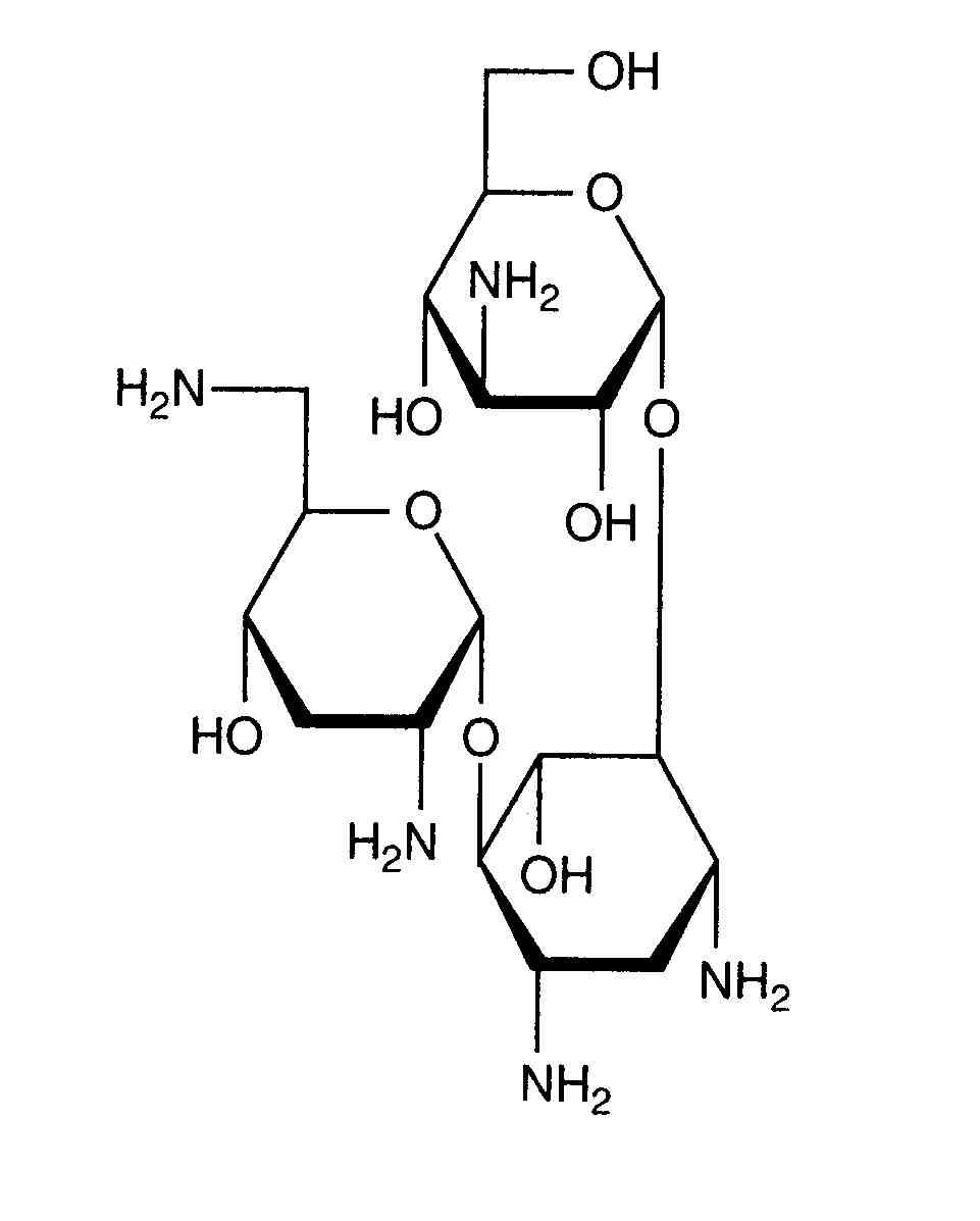
   Chemický vzorec  

Humbuk
Stabilita směsí   Humbuk   Stabilita směsí : Tobramycin sulfate      
žádná data

  Mentions Légales