Letztes “update” :
27/01/2026
Antibiotikum   Tobramycin sulfate   
Augentropfen
Aerosol Injektion Lösung zum Einnehmen
Stabilität von pharmazeutischen Präparaten Gemengestabilität Stabilitätbeeinflussende Faktoren Kompatibilitäten Literaturverzeichnis pdf
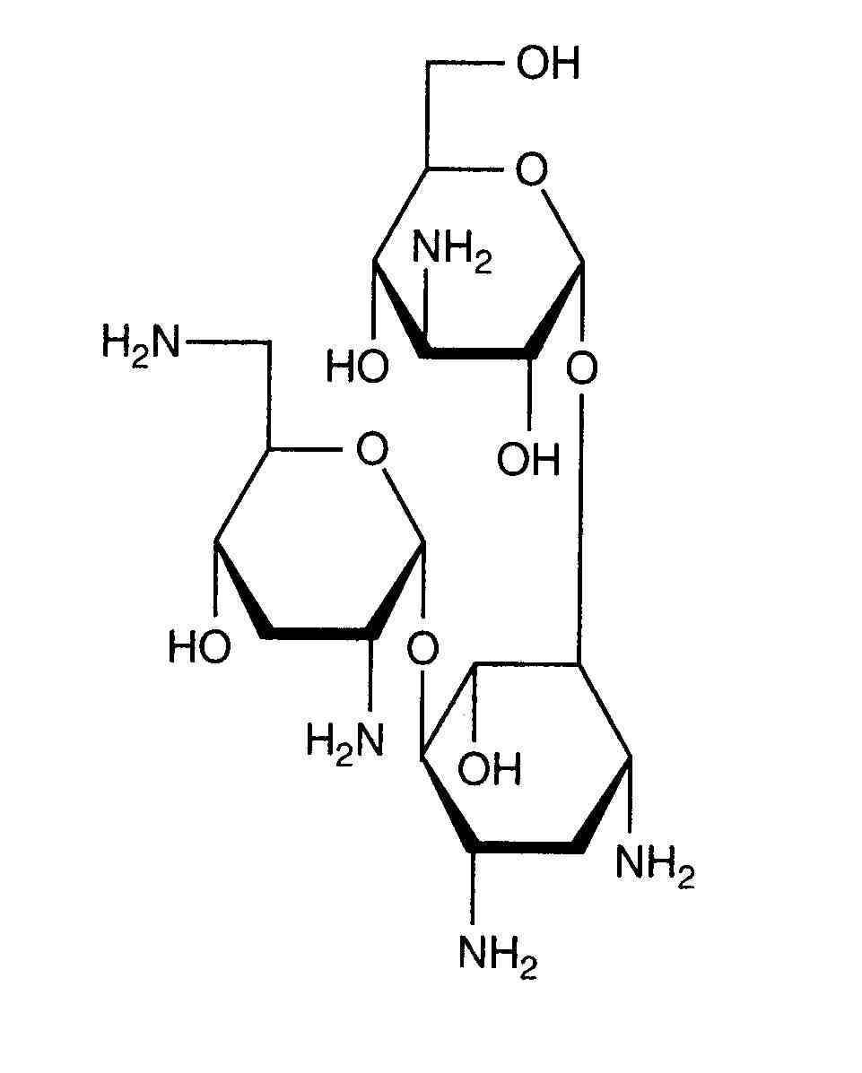
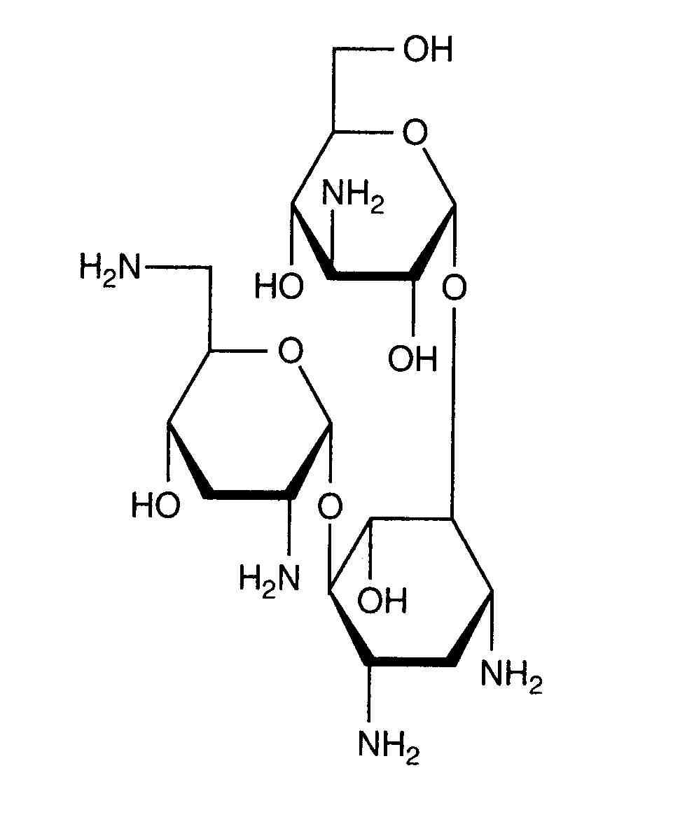
   Chemische Struktur  

Augentropfen
Gemengestabilität   Augentropfen   Gemengestabilität : Tobramycin sulfate      
Keine Daten

  Mentions Légales