Última actualização :
27/01/2026
antibiótico   Tobramycin sulfate   
solução oftálmica
aerossol injetável Solução Oral
Estabilidade de preparações farmacêuticas Estabilidade em misturas Factores que afectam a sua estabilidade Compatibilidade Bibliografía pdf
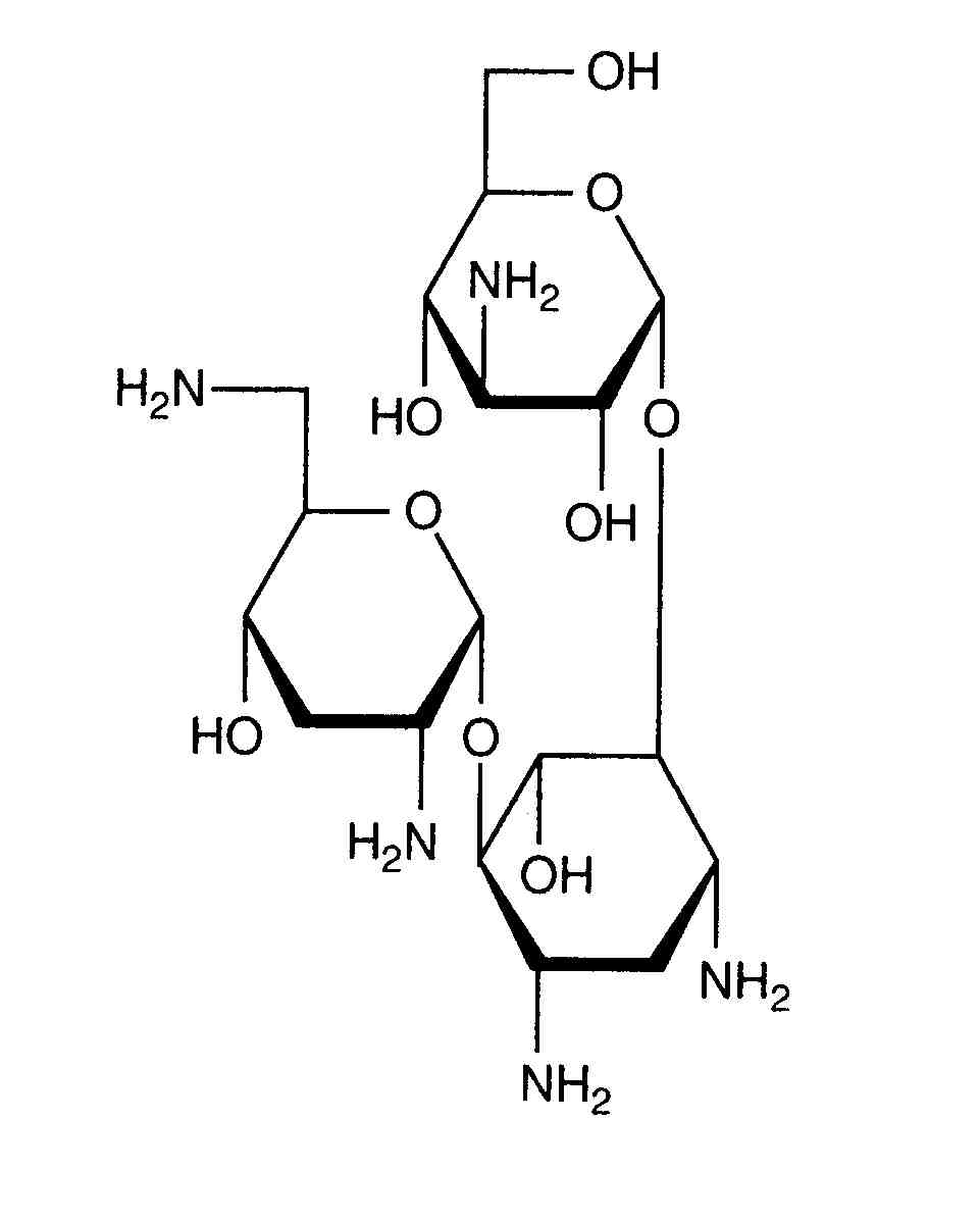
   estrutura química  

solução oftálmica
Estabilidade em misturas   solução oftálmica   Estabilidade em misturas : Tobramycin sulfate      
Ausência de dados

  Mentions Légales