Последнее обновление :
27/01/2026
Антибиотик   Tobramycin sulfate   
Глазные капли
Аэрозоль Инъекция Раствор для перорального приёма
Стабильность фармацевтических препаратов Стабильность смесей Факторы, которые влияют на стабильность Совместимость Библиография pdf
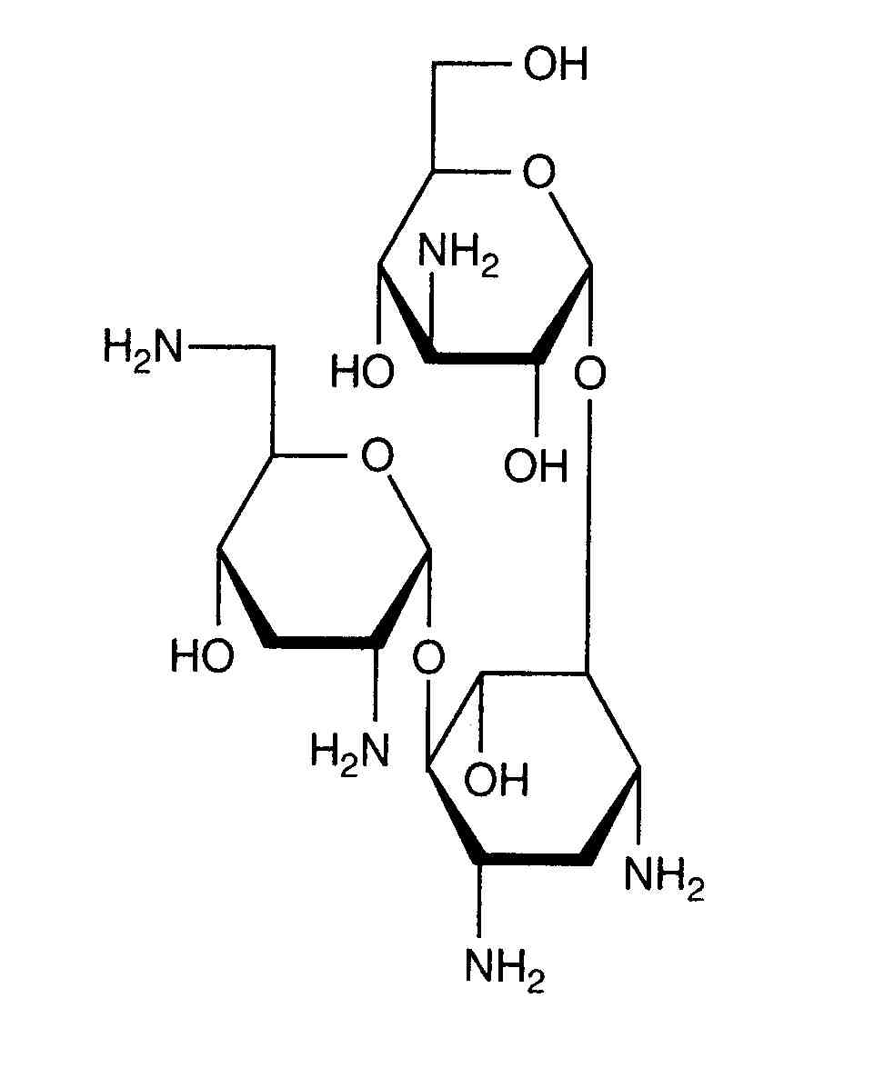
   Химическая структура  

Глазные капли
Стабильность смесей   Глазные капли   Стабильность смесей : Tobramycin sulfate      
данных нет

  Mentions Légales