Poslední aktualizace :
27/01/2026
Antibiotikas   Tobramycin sulfate   
Akių lašai
Aerozolis Geriamas tirpalas Įpurškimas
Stabilumas farmacinių preparatų Mišinių stabilumas Stabilumą lemiantys veiksniai Suderinamumas Bibliografija pdf
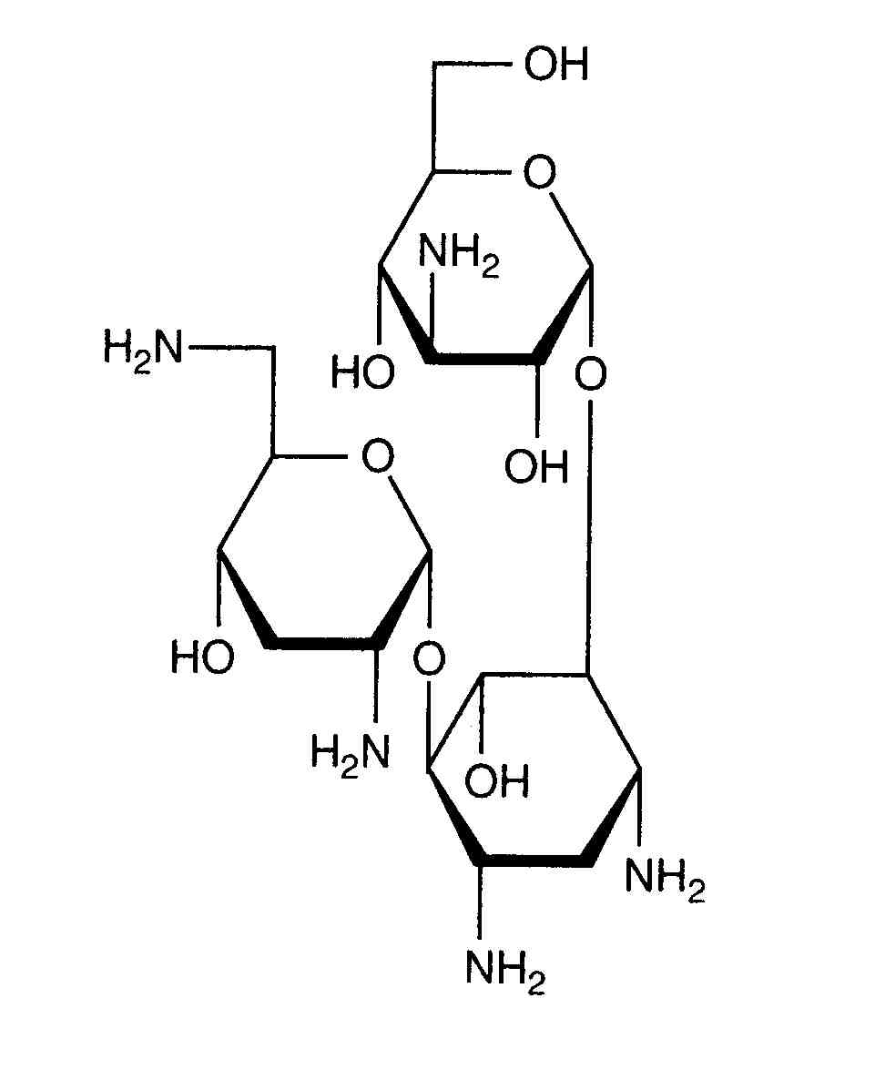
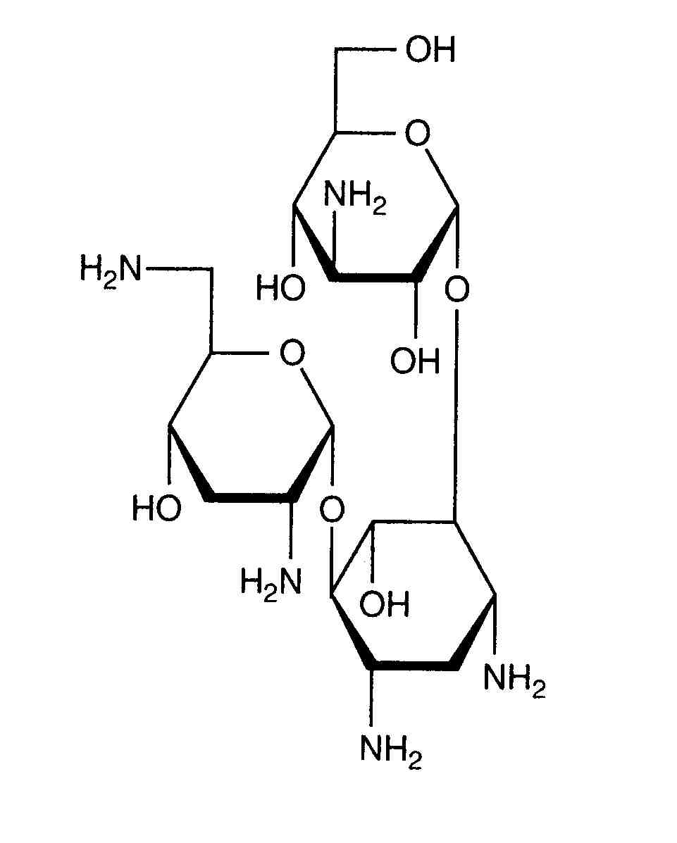
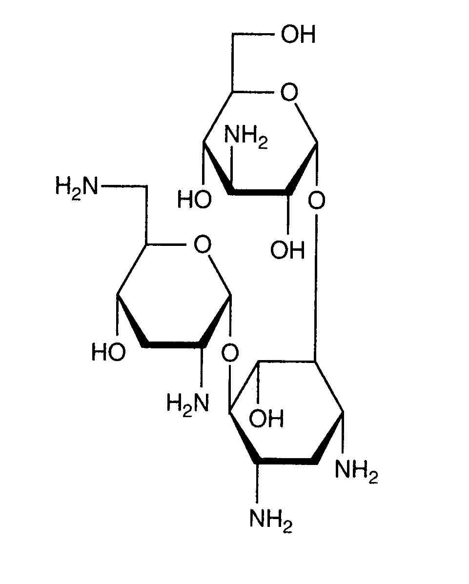
   Cheminė sandara  

Akių lašai
Mišinių stabilumas   Akių lašai   Mišinių stabilumas : Tobramycin sulfate      
Nėra duomenų

  Mentions Légales