viimane versioon :
27/01/2026
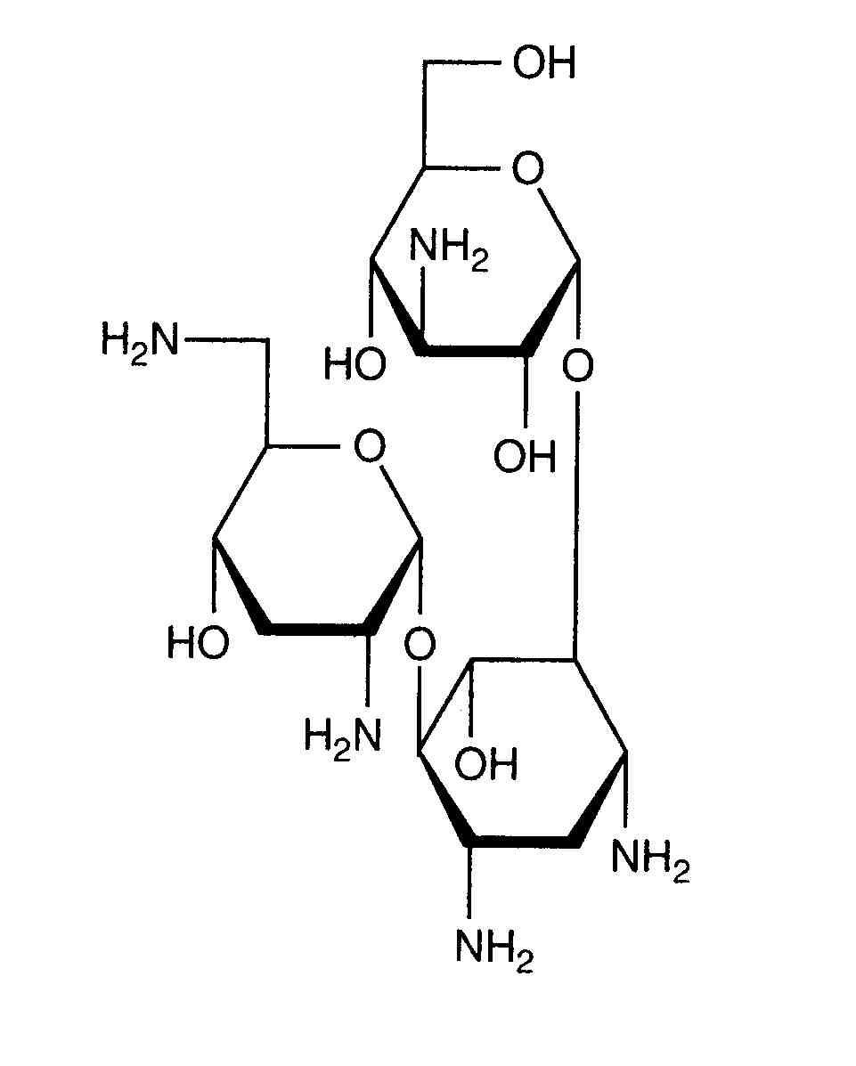
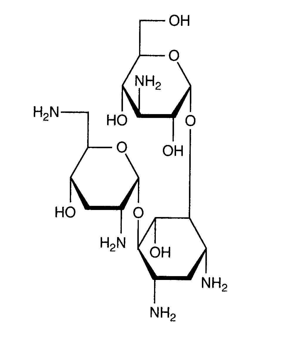
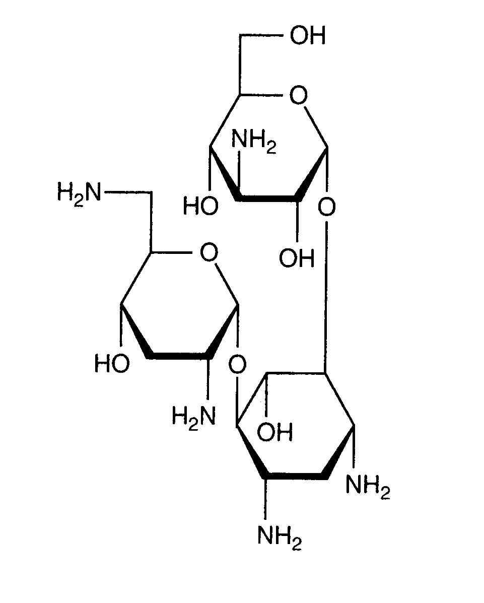
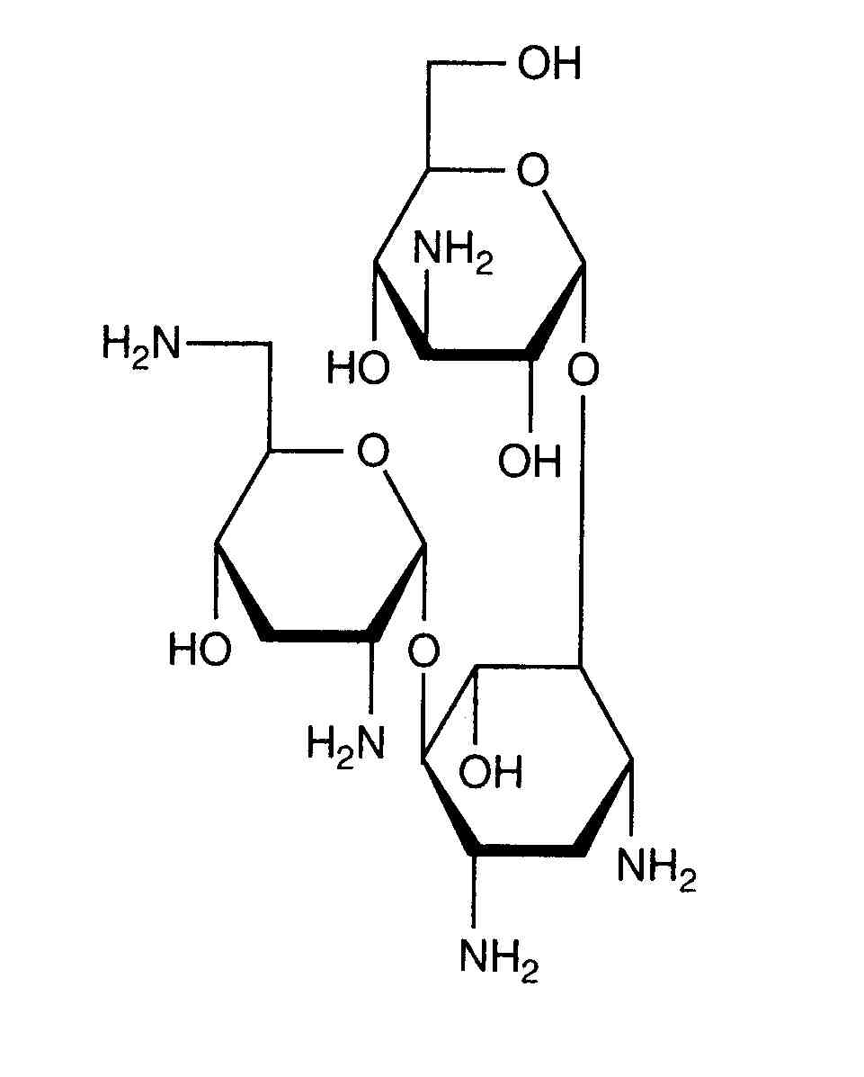
antibiootikum   Tobramycin sulfate   
Silmatilgad
aerosool Süsteravim suukaudne lahus
Stabiilsust ravimpreparaadid Stabiilsust mõjutavad tegurid stabiilsust mõjutavad faktorid Sobimatus Viited pdf
   keemiline struktuur  

Silmatilgad
Sobimatus   Silmatilgad   Sobimatus : Tobramycin sulfate               
andmed puuduvad

  Mentions Légales