Ultimo aggiornamento :
27/01/2026
Antibiotico   Tobramycin sulfate   
Collirio
Aerosol Iniezione Soluzione orale
Stabilità dei preparati farmaceutici Stabilità in miscela Fattori che influenzano la stabilità Compatibilità Bibliografia pdf
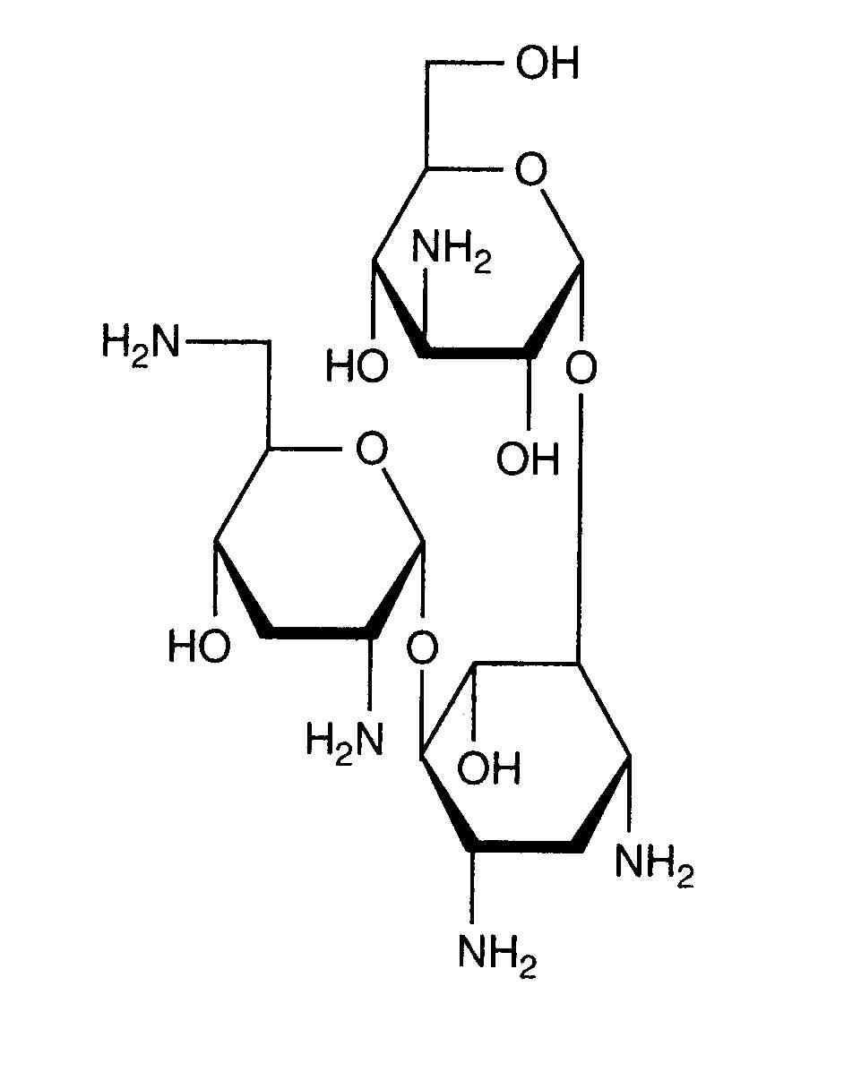
   Struttura chimica  

Collirio
Compatibilità   Collirio   Compatibilità : Tobramycin sulfate               
Assenza di dati

  Mentions Légales